- XTR115電流環電路原理及應用
- XTR115兩線制電流環典型應用
- 利用XTR115兩線制電流環進行信號傳輸
在各種數據采集與監控中通常用一個儀表放大器來完成信號的調理,但是工業現場進行長線傳輸時,往往會產生以下問題:1)由于傳輸的信號是電壓信號,傳輸線會受到噪聲的干擾;2)傳輸線的分布電阻會產生電壓降;3)現場無法提供儀表放大器的工作電壓。
為了解決上述問題并避開相關噪聲的影響,通常用電流來傳輸信號,這是因為電流對噪聲并不敏感。4~20 mA的電流環便是用4 mA表示零信號,用20 mA表示信號的滿刻度,而將低于4 mA和高于20 mA的信號用作各種故障的報警。
電流環電路,根據轉換原理的不同可劃分成以下兩種類型:一種是電壓/電流轉換器,亦稱電流環發生器,它能將輸入電壓轉換成4~20 mA的電流信號(典型產品有1B21,1B22,AD693,AD694,XTR115和XTR116);另一種屬于電流/電壓轉換器,也叫電流環接收器(典型產品為RCV420),上述產品可滿足不同用戶的需要。
電流環電路,根據器件位置的不同又可劃分成以下兩種類型:兩線制和三線制。當監控系統需要通過長線驅動現場的驅動器件(如閥門等)時,一般采用三線制變送器,這里,電流環器件位于監控的系統端,由系統直接向電流環器件供電,供電電源是二根電流傳輸線以外的第三根線。兩線系統是電流環器件和傳感器位于現場端,由于現場供電問題的存在,一般是接收端利用4~20 mA的電流環向遠端的電流環器件供電,通過4~20 mA來反映信號的大小。
XTR系列是美國BB(BURR-BROWN)公司生產的精密電流變送器,該公司現已并入美國Texas Instruments公司。該系列產品包括XTR101,XTR10 5,XTR106,XTR110,XTR115和XTR116共6種型號。其特點是能完成電壓/電流(或電流/電流)轉換,適配各種傳感器構成測試系統、工業過程控制系統、電子秤重儀等。其中,XTR115和XTR116能夠滿足工業測量標準的兩線4~20 mA電流環電路,該電路設計巧妙、使用方便、超低靜態電流,非常適合于變送器等典型工業測量應用之中。
本文針對兩線的XTR115電流環電路的工作原理和典型應用展開詳細討論,可為4~20 mA電流環電路的使用提供有益參考。
1 XTR115的性能特點
XTR115具有如下性能特點:
1)XTR115屬于二線制電流變送器,內部的2.5 V基準電壓可作為傳感器的激勵源。XTR115可將傳感器產生的40~200μA弱電流信號放大100倍,獲得4~20 mA的標準輸出。當環路電流接近32 mA時能自動限流。如果在3腳與5腳之間并聯一只電阻,就可以改變限流值。
2)芯片中增加了+5 V精密穩壓器,其輸出電壓精度為±0.05%,電壓溫度系數僅為20x10-6/℃,可給外部電路(例如前置放大器)單獨供電,從而簡化了外部電源的設計。
3)精度高,非線性誤差小。轉換精度可達±0.05%,非線性誤差僅為±0.003%。
4)環路電源電壓的允許范圍寬為7.5~36 V。XTR115由環路電源供電。工作溫度范圍是-40~+85℃。
5)專門設計了功率管接口,適配外部NPN型功率晶體管,它與內部輸出晶體管并聯后可降低芯片的功耗。
2 XTR115的工作原理
XTR115和XTR116用SO-8小型化封裝,其結構組成及原理圖如圖1所示,XTR115和XTR116內部電路主要由3部分組成。

[page]
第二部分是電源調整電路,它提供傳感器部分的外圍電路工作電源和參考電壓。第三部分是由電阻Ra、Rb、Rlim和晶體三極管TO組成保護電路,以防止輸出電流過大或上電過程中的過沖脈沖損壞芯片。為了敘述方便,摘出電流環電路部分如圖2所示。

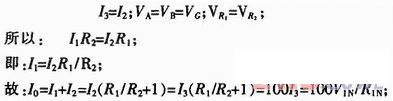
圖2電路中,信號電壓施加在VIN和VG之間,VG相當于傳感器部分的參考點。根據運算放大器的基本原理,運算放大器的兩個輸入端電壓基本相等,流入運算放大器輸入端的電流基本為零。可知:

3 XTR115兩線制電流環典型應用
利用XTR115構成兩線制電流環時,其工作電源和信號共用一根導線,工作電源由接收端提供。該方案需要考慮的主要問題:一是確定所用接收器的數量,即當有多個接收器時,它將要求變送器擁有一個較低的工作電源電壓。另外一種考慮是降低回路電流在接收端的壓降。
通常情況下,利用兩線制設計方案時,均需要考慮以下幾點:
1)電路環中的接收器的數量,更多的接收器將要求變送器有較低的工作電壓;
2)變送器所必需的工作電壓要有一定的余量;
3)決定傳感器的激勵方法是電壓還是電流。
[page]
圖3是XTR115電路在溫度傳感器中的典型應用,溫度傳感器PT100和RE1、RE2、RE3組成測量橋路,恒流二極管2HD2為橋路提供2 mA的供電電流,運算放大器INA128組成差動放大電路,輸出被偏置在Vo=2.5 V的工作點上。放大器的輸出通過電阻RIN接到電流環變換電路XTR115。運算放大器INA128的靜態電流為700μA;所以輸出端還須加入1.3 mA的偏置電流,這個電流可以通過電流偏置電阻Rs獲得,Rs=2.5V/(1.3 mA/100)=192.3kΩ。

當溫度在0℃時,電橋平衡,放大器的輸出電壓為VP=VQ=2.5 V。電流環的輸出電流IO=12 mA。當溫度在100℃時,放大器的輸出電壓為VP=5 V。電流環的輸出電流IO=20 mA。當溫度在-100℃時,放大器的輸出電壓為VP=0 V。電流環的輸出電流IO=4mA。
然而,運算放大器INA128的最高輸出電壓達不到5 V;最低輸出電壓也達不到0V。所以測溫范圍達不到+100℃。一個簡潔的解決方案是降低運算放大器INA128的增益,使運算放大器在100℃時的輸出電壓達到它的最大值Vomax=4 V。G=(4 V-2.5 V)/17.56 mV=85倍。RG=50 k/(G-1)=595 Ω。這時,當溫度在100℃時,放大器的輸出電壓為VP=4V。電流環的輸出電流IO=16.8 mA。當溫度在-100℃時,放大器的輸出電壓為VP=1 V。電流環的輸出電流IO=7.2 mA。雖然這樣又帶來了電流環的輸出范圍利用不足的缺點,但它并不影響正常測量。
外接晶體三極管只要選用Vceo>36 V,Icmax>32 mA,Poutmax>1.2 W的NPN三極管即可。如:2SC1846、2SC2568、2SC2611、2SC2621、等均可。
4 總結
本文針對各種工業場合中抗惡劣電磁干擾環境的需求,給出了一種利用XTR115兩線制電流環進行信號傳輸的電路設計方法。該方法減少了傳輸線的噪聲干擾和傳輸線的分布電阻產生的電壓降,提高了數據通訊接口的可靠性和準確度,具有抗干擾能力強,數據傳輸準確的特點,在工業測量中具有廣闊的應用前景。





