【導讀】電子行業對精度的要求越來越高,溫度檢測也不例外。目前市面上有許多溫度檢測解決方案,每一種都有其優缺點。硅芯片溫度傳感器,線性度相對較高,而且精度遠超其他解決方案。但是,硅芯片溫度檢測領域的最新進展意味著,使用硅芯片解決方案將可以實現高分辨率和高精度。
新冰箱
那時正是2020年3月,英國即將進入封鎖狀態。全球都在囤積食物,以防超市關門,而未來似乎充滿不確定。就在這種時 候,Bramble家的冰箱罷工了。滿腦子都回響著Kenny Rogers單曲"露西爾"中的歌詞"你怎么選擇在這樣一個時刻離開我",我們開始在網上搜索新的替代品。
幾天后,新冰箱送來了,前面板上有數字溫度顯示,完全符合Bramble太太的需求。建議的設置溫度為-18°C,一個小時后,冰箱達到了所需的溫度,可以開始存放食物了。我有點懷疑溫度讀數的準確性,但只要能夠冷凍食物,我對此也不太在意。但問題是:我是一名工程師,有一顆熱衷探索的心,在連續幾天面對新冰箱毫無變化的數字讀數后,我崩潰了。我必須測試一下這件新電器的精度。
溫度傳感器
工業應用中使用的溫度傳感器種類繁多,各有其優缺點。鑒于有許多文本詳細介紹了各種溫度傳感器的操作,我不再贅述,只是提供一些總結。
熱電偶
熱電偶提供了一種低成本、中等精度的高溫測量方案。正如Thomas Seebeck在1821年發現的那樣,它們基于兩個結點之間產生的電壓,每個結點都由不同的金屬構成,放置于不同溫度環境下。對于K型熱電偶(由鎳鉻合金和鎳鋁金合金制成)來說,它輸出約41 μV/°C的電壓,可用于測量超過1000°C的溫度。但是,塞貝克效應依賴于兩個結點之間的溫度差,因此,在熱端測量相關溫度時,冷端必須持續測量已知的溫度。諷刺的是,在冷 端需要另一個溫度傳感器來測量溫度, AD8494 這樣的器件正好 能夠完全解決這個問題。熱電偶本身的體積很小,所以熱質很低,能夠快速響應溫度變化。
RTDs
行業廣泛使用電阻溫度檢測器(RTD)來測量中溫(<500°C)。這些器件由一種電阻會隨溫度的變化呈正變化的金屬元素組成,最常見的是鉑(Pt)。事實上,PT100傳感器是行業中使用最廣泛的RTD,因使用材料鉑制成,且在0°C時電阻為100 Ω而得名。雖然這些器件無法測量熱電偶那樣的高溫,但它們具有高線性度,且重復性較好。PT100需要精確的驅動電流,從而在傳感器上產生一個與溫度成比例的準確的壓降。PT100連接線的電阻導致傳感器的電阻測量出現誤差,所以開爾文連接是最典型的傳感器使用方法,因此出現3線或4線傳感器。
熱敏電阻
如果需要低成本的解決方案,且溫度范圍較低,那么使用熱敏電阻通常就足夠了。這些器件線性化程度很低,具有斯坦哈特 哈特方程的特征,電阻隨溫度升高而減小。熱敏電阻的優點 是,電阻會在小幅溫度變化下呈現大幅變化,所以,盡管它具 有非線性,但仍然可以達到很高的精度。熱敏電阻還提供快速 的熱響應。單個熱敏電阻的非線性是明確定義的,所以可以使 用LTC2986這類的組件來進行校準。
二極管隨處可見,但(V be )壓降至吸電流并非如此...
為了測試這個新家電的準確性,最終我選擇使用硅芯片溫度傳感器。它們到手即用,無需冷端溫度補償或線性化,可以提 供模擬和數字輸出,且預先經過校準。但是,直到最近,它們都只能提供中等準確性。雖然足以指示電子設備的健康狀態, 但它們一直不夠精準,無法測量(例如)體溫,體溫測量通常需要達到±0.1°C的精度(根據ASTM E1112標準)。但是最近發布的 ADT7422 和ADT7320硅芯片溫度傳感器改變了這一狀況,它們的測量分辨率分別為±0.1°C和±0.2°C。
硅芯片溫度傳感器利用晶體管的V be 的溫度依賴性,根據莫爾方程,約為:

其中I c 為集電極電流,I s 為晶體管的反向飽和電流,q為電子上的電荷(1.602 × 10 –19 庫侖),k為玻爾茲曼常數(1.38 × 10 –23 ),T為絕對溫度。
方程1中集電極電流的表達式也適用于二極管中的電流,那么為什么每個應用電路都使用晶體管而不是二極管呢?事實上,二極管中的電流還包括電子通過pn結的耗盡區與空穴重新結合所產生的復合電流,這表明二極管電流與V be 和溫度具有非線性關系。這種電流也出現在雙極晶體管中,但流入晶體管的基極,不會出現在集電極電流中,因此非線性程度要低得多。
整合上述因素可以得出

與I c 相比,I s 很小,所以我們可以忽略方程2中的1項。我們現在可以看到,V be 根據I c 中的對數變化呈線性變化。我們也可以看到,如果I c 和I s 是常數,那么V be隨溫度呈線性變化,因為k和q也是常數。在晶體管中施加恒定的集電極電流,并測量V be 如何隨溫度變化,這項任務很簡單。
I s 與晶體管的幾何形狀有關,并且對溫度有很強的依賴性。和許多硅芯片器件一樣,溫度每上升10°C,其值就會翻倍。雖然ln函數降低了電流變化的影響,但仍然存在V be 的絕對值隨晶體管的 變化而變化的問題,因此需要校準。所以,實際的硅芯片溫度傳感器使用兩個完全相同的晶體管,迫使1 I c 集電極電流進入一個晶體管,10 I c 進入另一個。我們能在集成電路中輕松生成完全 相同的晶體管和精準的比率電流,所以大多數硅芯片傳感器都使用這種結構。電流的對數變化會引起V be 出現線性變化,然后測量V be 的差值。
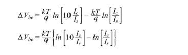
由方程2可知,對于溫度相同的兩個晶體管,其V be 的差值為

這是因為

我們可以看出

通過使不同的電流通過每個晶體管并測量V be 的差值,我們消除了非線性I s 項、不同的V be 的影響,以及與晶體管的幾何形狀相關的所有其他非線性效應。因為k、q和ln10都是常數,所以V be 的變化與絕對溫度(PTAT)成正比。當電流差為10倍時,兩個V be 的電流差在大約198 μV/°C時隨溫度呈線性變化。參見圖1查看實現這一效果的簡單電路。

圖1. 測量溫度的基本電路。
必須慎重選擇圖1中的電流。如果電流過高,在晶體管的整個內部電阻范圍內,會出現很高的自發熱和壓降,從而影響測量結果。如果電流過低,晶體管內部的漏電流會增大誤差。
還應注意的是,前面的方程都與晶體管的集電極電流有關,而在圖1中,晶體管中注入的是恒定的發射極電流。在設計晶體管時,可以明確確定集電極和發射極電流之間的比例(且接近整數),這樣集電極電流與發射極電流成比例。
這還只是開始。要使硅芯片溫度傳感器達到±0.1°C的精度,還需要大量的表征和微調。
是一只鳥?還是一架飛機?
不,這是一個超級溫度計。是的,它們確實存在。需要將未校準的硅芯片溫度傳感器放入裝滿硅油的浴缸中,準確加熱到 所需的溫度,然后使用超級溫度計進行測量。這些器件的測量精度可以精確到超過小數點后五位。將傳感器內部的保險絲熔 斷,以調整溫度傳感器的增益,從而利用方程y = mx + c將其輸出線性化。硅油提供非常均勻的溫度,因此可以在一個周期內校準許多器件。
ADT7422在25°C至50°C溫度范圍內的精度為±0.1°C。這個溫度范圍以典型的38°C體溫為中心,使得ADT7422非常適合用于精準監測生命體征。在工業應用中使用時,我們對ADT7320進行了調整,使其精度達到±0.2°C,但溫度范圍擴大到-10°C到+85°C。

圖2. 安裝在0.8 mm厚的PCB上的ADT7422。
但是,硅芯片溫度傳感器的校準并不是唯一的問題。采用極其精確的基準電壓時,裸片上的壓力會破壞傳感器的精度,以及PCB的熱膨脹、引線框架、模塑和裸露焊盤,所有這些都需要考慮。焊接工藝本身也有問題。焊料回流工藝會使零件的溫度提高到260°C,導致塑料封裝軟化,裸片的引線框架變形,這樣當零件冷卻,塑料變硬時,機械應力會被封存在裸片中。ADI公司的工程師花了好幾個月的時間進行細致的實驗,最終發現0.8 mm的PCB厚度最為合適,即使在焊接之后,也可以達到±0.1°C的精度。
那么香腸的溫度到底有多低?
我將ADT7320連接到一個微控制器和一個LCD顯示器上,并編寫了幾百行C語言代碼來初始化傳感器和提取數據——可以通過在DIN引腳上連續寫入32個1s來輕松初始化這個部分。配置寄存器被設置為使ADT7320以16位精度連續轉換。從ADT7320上讀取數據之后,至少需要等待240 ms的延遲之后,才會發生下一次轉換。為了便于使用非常低端的微控制器,所以我手動編寫了SPI。我將ADT7320放在冰箱里大約30分鐘,以獲取新冰箱的準確溫度。圖3顯示冰箱的溫度為–18.83°C。

圖3. 冰箱的溫度為–18.83°C。
這種精度給我留下了非常深刻的印象,雖然存儲食品并不需要達到這種溫度精度等級。然后,在英國夏季的某一天,我測量了辦公室內的溫度。如圖4所示,溫度為22.87°C。

圖4. 辦公室的溫度為22.87°C。
結論
硅芯片溫度傳感器已取得長足進步,變得非常精確,能夠實現非常高的生命體征監測精度。雖然它們內部的技術都是基于成熟的原理,但要使它們達到亞度精度水平,還是需要付出巨大的努力。即使達到了這種精度水平,機械應力和焊接也很容易抹掉數小時校準所取得的成果。
ADT7320和ADT7422代表了多年來達到亞度級精度溫度表征的技術頂峰,即使是在焊接到PCB上之后。
ADT7422
●焊接到 PCB 上后,精度符合 ASTM E1112 的臨床溫度測定規范
●3.0 V 下 25°C 至 50°C 時為 ±0.1°C
●2.7 V to 3.3 V 下 −20°C 至 +105°C 時為 ±0.25°C
●超低溫度漂移:0.0073°C
●美國國家標準技術研究所 (NIST) 可追溯或等效
●上電時 6 ms 的快速首次溫度轉換
●簡單的實現方式
●不需要溫度校準或校正
●不需要線性度校正
●低功耗
●在 1 SPS 模式下 3.0 V 時為 140 μW(典型值)
●在關斷模式下 3.0 V 時為 6 μW(典型值)
●可編程中斷
●關鍵過溫中斷
●過溫和欠溫中斷
●I2C 兼容接口
●符合 RoHS 標準的 16 引腳 4 mm × 4 mm LFCSP 封裝
(來源:亞德諾半導體)
免責聲明:本文為轉載文章,轉載此文目的在于傳遞更多信息,版權歸原作者所有。本文所用視頻、圖片、文字如涉及作品版權問題,請電話或者郵箱聯系小編進行侵刪。




