【導讀】涉及精準定位和運輸數據的資產跟蹤模塊,非常適合組建無電池節點的無線傳感器網絡(WSN)。無電池的網絡節點幾乎可以部署在任何環境中,對維護工作的需求很少甚至沒有。
摘要
涉及精準定位和運輸數據的資產跟蹤模塊,非常適合組建無電池節點的無線傳感器網絡(WSN)。無電池的網絡節點幾乎可以部署在任何環境中,對維護工作的需求很少甚至沒有。為了滿足市場對先進無電池傳感器標簽解決方案日益增長的需求,本文提出一個在無線傳感器網絡中識別資產和監測資產移動速度的跟蹤系統,無電池的資產標簽通過射頻無線電力傳輸(WPT)架構接收數據通信所需電能,并采用一個獨有的測速方法生成時域速度讀數。本文還評測了一款RF WPT供電節點專用系統芯片(SoC)的性能特性和主要功能,提出一個創新的能夠解決最高功率轉換效率(PCE)與靈敏度相互對立和,功率轉換效率與最高靈敏度相互對立問題的RF-DC轉換解決方案,還提供一個能夠計算資產識別和測速所需讀取器數量的設計策略和優化模型,做了模型驗證測試,并提供了證明本文所提出的先進監控系統可行性的實驗結果。
1.前言
物聯網(IoT)技術及聯網設備和智能解決方案的開發應用,讓有望顯著改善人們日常生活的新興無線傳感器網絡(WSN)取得空前發展[1]。無線智能傳感器節點預計會出現在與物聯網(IoT)相關的所有新興應用領域[2]。實際上,針對智慧城市、家庭自動化、辦公自動化,有些企業已經推出了旨在提高服務質量、舒適性、安全性和能效的無線傳感器網絡平臺[3-9]。因為能夠跟蹤資產、個人物品等物資的準確位置和運輸狀況,無線傳感器網絡還是資產跟蹤應用的理想選擇[10]。
在這個應用領域,傳感器節點向無線網絡發送與資產的存在、品名、位置和移動速度相關的信息。因為系統傳輸的數據很少,所以對電能和帶寬的要求不高。理想的資產跟蹤標簽是一種幾乎可以在任何地方使用的價格低廉、免維護的非一次性設備[11-13]。一個切實有效的資產跟蹤解決方案需要內置通信、感知、信號處理、電源管理和自發電等功能[14,15],與僅適用于近距離物品識別的簡單標簽應答器相比有很大的不同。
如今,無線傳感器節點是一種更加復雜的有感知、分析和通信功能的設備[16],不過,它們對電能的需求也變得更大,必需使用電池才能滿足供電需求,導致廠商的系統成本、維護和小型化負擔加重[17]。因此,除了尺寸、成本等要素外,功耗和在最大通信距離時的最大吞吐量是無線傳感器網絡節點最顯著的性能特征[2,5]。通過整合高能效通信方案與低功耗設計,無線傳感器網絡節點可以將電池壽命延至數月甚至幾年[2],因此,低功耗無線傳感器網絡設計廣泛使用免許可的ISM (工業、醫學和科學) 頻段的無線協議,例如,ZigBee [18]、Bluetooth和Bluetooth Low Energy(BLE)[19]。尤其是BLE低能耗藍牙協議,可降低功耗,易于設置,連接智能設備簡單[20-22]。通過戰略性的硬件和固件協同設計,以及在最終應用中全面優化無線通信協議,可以實現低能耗和高能效。傳統電池供電系統并非總是最佳解決方案,因為電池會在成本、重量和尺寸方面帶來更多的問題,電池壽命和系統維護就更不用說了。此外,電池和超級電容的使用也給系統電源管理帶來問題[23,24]。
無線傳感器網絡的維護問題不僅僅體現在成本方面;在電氣安全和檢修便利性方面,維護工作也可能變得十分復雜,某些工作環境可能太熱,致使電池無法安全可靠地供電。在正常工況環境中[25],通過降低或消除待機功耗,可以大幅降低電池電量的消耗 [26-34],延長電池壽命,進一步縮減系統體積,減少維護干預次數。將射頻無線電力傳輸(WPT)技術用于遠距離無線充電,也可以方便電池供電節點的維護工作[35–40]。雖然這些解決方案可以幫助緩解系統維護和小型化相關問題,但不能一下解決全部問題。在可行的情況下,例如,在使用低占空比傳感器的應用中,更可取的解決辦法是開發無電池設備,其明顯優勢是非一次性產品,使用壽命幾乎無限,成本效益更高,可用于電池可能會引發危險的環境[41–45]。由于這些原因,無電池解決方案風生水起[43,46–49],越來越多的工程師選擇包括RF EH和WPT在內的可再生能量收集(EH)技術。開發高能效的WPT和RF EH應用并非易事,因為即使射頻能量無所不在,并且能夠發射到視線看不到的地方,但其功率轉換效率(PCE)到目前仍然很低,針對這個問題,許多研究人員發表了極具啟發性的論文[50-67]。
本文面向這一研究領域,研究在無線傳感器網絡基礎設施中,在電能發射器(讀取器)與射頻自供電的無電池BLE標簽之間使用RF WPT技術,探討使用無電池BLE標簽設計資產跟蹤系統所面臨的技術挑戰,并提出相應的解決方案。在讀取器和標簽的間距隨時變化的動態環境中,標簽以某一速度相對于讀取器移動。這項研究的顯著特點是,在移動環境中進行RF WPT充電,通過BLE技術傳輸數據。這項研究的重點是估算為移動標簽連續供電所需最小讀取器數量,并介紹無任何電池的傳感器如何通過RF WPT實現自供電,測量資產移動速度,生成時域讀數,并通過物聯網機制傳輸數據。最后,本文提供了資產識別測速所需的最佳讀取器數量、基礎設施設計策略和數學模型。
本文詳細討論了RF WPT供電節點專用系統芯片(SoC)的關鍵特性、體系結構和性能特征,提供了具體的測試、模擬仿真和實驗結果。本文的結構如下:第2部分從讀取器和無電池BLE資產標簽的角度介紹系統架構。第3部分討論WPT系統的設計方法,其中包括當系統關鍵參數給定時,用于求算最佳設計所需最少射頻讀取器數量的公式和假設。第4部分探討無電池BLE標簽速度測量系統,介紹如何用RF WPT和無電池BLE標簽實現一個能夠生成時域讀數并通過物聯網機制傳輸信息(速度)的速度測量系統。第5部分介紹系統裝置、實驗結果及其與在設計階段獲得的數據的相關性。第6部分是結論。
2.系統說明
遠距離射頻無線電力傳輸(WPT)系統用于為無電池BLE資產標簽遠程供電。圖1所示是本文提出的資產跟蹤系統的框圖,該系統架構基于雙頻系統,WPT輸電和數據通信兩個單元使用不同的頻率。對于遠程電力傳輸,標簽讀取器和標簽使用無需許可的ISM(工業、科學和醫學)頻段,載波中心頻率868 MHz。讀取器與資產標簽的數據通信采用2.4 GHz ISM頻段,帶寬80 MHz。讀取器工作頻率的選擇對于電力傳輸非常重要,這需要在標簽和讀取器的尺寸限制與自由空間路徑損耗(FSPL)最小化之間權衡折衷。事實上,尺寸限制與自由空間路徑損耗最小化這兩個要求是相互對立的,因為標簽尺寸很大程度上取決于天線尺寸,天線大小與工作頻率成反比,而工作頻率又直接影響FSPL性能。根據Friis傳輸公式[68],在自由空間中,868 MHz頻段典型無線電力傳輸一米距離后,傳輸功率將會衰減30 dB (1/1000),然后每10 米就會繼續衰減20 dB。
相比之下,為讀取器選擇2.4 GHz頻率將導致傳輸功率在僅一米傳輸距離內就衰減40 dB (1/10,000)或者一個更大量級。這突出表明,能量傳輸效率低是RF WPT技術固有缺點,因此,需要對新架構和設計參數選擇進行持續研究。盡管存在這些先天不足,射頻電力傳輸仍然不失為一個為物聯網和無線傳感器節點等低功耗設備供電的便捷方式[54,69,70]。數據通信使用一個BLE射頻芯片,因為跟蹤系統需要一個符合相關數據交換量和通信速率規范的超低功耗射頻芯片。此外,BLE射頻芯片允許天線設計得非常小。實際的BLE讀取器是由一個低功耗射頻sub-GHz收發器和一個BLE接收器組成。射頻收發器是意法半導體的Spirit1芯片,配有最高輸出功率27 dBm的功率放大器,而BLE芯片是意法半導體的符合藍牙5.0規范的BLE系統芯片BLUENRG-2。標簽系統體系架構是由兩顆芯片組成。無線電力傳輸專用系統芯片接收并轉換射頻能量,標簽數據通信使用與讀取器相同的BLE射頻芯片。接收射頻能量的系統芯片對資產跟蹤系統性能至關重要,我們將用數學方法證明,RF-DC轉換器的PCE效率和靈敏度性能在確定讀取器數量過程中的重要性。
顯然,這兩個參數性能高會減少所需的讀取器數量,從而降低系統整體成本。本研究案例中使用的系統芯片是一個2 W自供電芯片,集成一個寬帶(350 MHz-2.4 GHz)RF–DC能量轉換器,在868 MHz頻率時,PCE最大值為37%,輸入功率為18 dBm,最大輸出電壓為2.4V。超低功耗管理單元的靜態電流性能是決定系統靈敏度高低的關鍵。圖1描述了該系統芯片的體系架構,組件包括RF-DC轉換器、超低功耗管理單元、數字有限狀態機(FSM)和DC/DC轉換器。外部天線連接系統芯片的RFin輸入引腳,用于捕獲射頻能量。RF-DC轉換器將射頻能量轉換為直流電能,通過輸出引腳Vdc向外部儲電電容器Cstorage充電。此外,RF-DC轉換器還產生一個直流開路電壓Voc,用于間接測量射頻輸入功率。Voc和Vdc電壓是超低功耗管理單元的輸入端,為FSM單元供電。RF-DC轉換器、超低功耗管理和FSM這三個單元組成一個閉環。根據Voc信號間接測量到的輸入射頻功率,數字信號總線實時更新Nos信號,為RF-DC轉換器選擇正確的級數(CMOS倍壓電路)。RF-DC轉換器、超低功耗管理模塊和FSM單元形成的環路執行最大功率點跟蹤(MPPT)運算,在射頻輸入功率變化過程中從射頻提取最大的能量。這個原理概念將在第3部分中詳細討論。從功能角度看,該系統芯片將從讀取器接收的射頻能量轉換為直流電壓Vdc,充入外部儲電電容器Cstorage。在輸入功率相同的條件下,靜態電流越低,傳輸到儲電電容器的凈電流就越大。該系統芯片集成了最小靜態電流僅為75 nA的超低功耗管理電路,從而能夠節省至少2 W的電能。

圖1. 射頻無線電力傳輸系統
圖2給出了三種不同的完整的通過三個不同的BLE廣播頻道發送數據包的BLE廣播發射方式。BLE設備配置為無法連接的無目標廣播模式,14 dBm發射功率,發射32字節廣播數據包。在此工作模式下,BLE設備未連接到任何網絡,能夠廣播任何類型的信息,包括環境數據(溫度、氣壓、濕度等)、微位置數據(資產跟蹤、零售等)或方向數據(加速度,旋轉,速度等)[71]。當標簽接收到讀取器發射的能量時,儲電電容器充電,Vstor電壓開始上升,直到最大值Vh為止。此時,超低功耗管理單元驅動DC/DC轉換器,通過Vout為BLE設備供電。當電壓Vout高于BLE設備最低工作電壓(1.8 V)時,藍牙電路激活,然后廣播數據信息。因為藍牙通信所需電流遠高于射頻信號轉化的電流,所以Cstorage電容器不可避免地會放電。實際上,如圖3所示,Cstorage電容器向BLE設備供給的峰值電流是毫安級,而射頻能量轉化的電流通常是微安級,因此,工作電流遠高于收集轉化的電能。

圖 2. 系統芯片的功能信號

圖 3.低能耗藍牙(BLE)的電流消耗
BLE設備一旦停止工作,就會立即拉高“ shdnb”信號,觸發系統芯片內部的有限狀態機(FSM)重置“ en”信號,關閉DC/DC轉換器,同時Vout電壓下降。因為電壓Vout下降,而且BLE設備不再加偏置電壓,所以“ shdnb”信號拉低電平,這可以控制儲電電容中的電壓下降,將其限制在BLE設備的電能要求范圍內,這些要求會隨BLE設備的廣播數據包長度和輸出發射功率配置而變化。例如,若BLE設備加2V平均偏置電壓,配置為無法連接的無目標廣播模式,14 dBm發射功率,傳輸32字節廣告數據包,則激活過程時間估計約2.4毫秒,激活過程平均電流估計約7.5 mA,發射能耗估計約36J。如果發射輸出功率增加到+8 dBm,激活過程預估時間不會改變,因為這個參數僅與廣播數據包的長度有關;激活過程平均電流估計增加到13.4 mA,因此,發射能耗估計上升到65J。廣播數據包長度也會影響BLE發送數據所需電能。若將BLE設備配置為14 dBm發射功率,發送16字節廣播數據,則激活過程時間估計減到2毫秒,激活過程平均電流估計約7 mA,發射能耗估計約28 J。Vstor的電壓降始終保持在最小值,不受BLE配置變化的影響,因此,系統可以更早地切換到提取能量模式,從而最大程度地降低占空比。這是這款系統芯片的一個獨有功能,可以與任何物聯網節點建立閉環通信[72]。在本案例研究中,工作環境是典型的動態資產跟蹤系統,資產相對于讀取器以特定速度v移動。需要注意的是,在這種情況下,標簽不是靜止不動的,并且接收到的能量不能視為恒定能量。因此,該節點必須途經若干個
讀取器才能完成初始啟動,使電壓Vstor從0V上升到最大電壓Vh,所需讀取器的具體數量取決于BLE發射廣播數據包所需電能、為儲電電容器充電的平均功率Pav、標簽的移動速度v。值得注意的是,標簽是移動的,功率Pav不是恒定的,因此,在標簽初始啟動期間,電壓Vstor不是連續上升,而是階梯式上升。圖4所示是電壓Vstor在初始啟動期間和穩態時的行為特性。該圖描述一個正在向前移動的標簽,但值得注意的是,標簽的移動方向與無線電力傳輸過程無關。可以觀察到,該節點必須途經若干個讀取器才能完成初始啟動,所需讀取器的具體數量取決于BLE發射信標所需的能量、標簽接收到可用的射頻能量、標簽的移動速度v。此后,讀取器射頻能量轉化的電流和BLE射頻電流對Cstorage電容器交替充放電,兩種電流的強度都非常不均衡。下一部分將討論系統設計,包括一些設計見解,并討論如何根據BLE射頻所需的能量和標簽移動速度等已知系統規范,推導出讀取器尺寸和最小安裝數量。下一部分還從靈敏度和PCE方面討論影響RF-DC性能的因素。

圖 4. 無線電力傳輸和Vstor 的關系變化
3.系統設計
本文的主要研究目的是如何將基礎設施成本降至最低,基礎設施成本與讀取器的安裝數量直接相關。圖4表明,完成初始啟動所需讀取器的數量NoR與兩個參數相關:一個是電壓Vstor可以達到的最大值Vh,另一個是標簽每次跨越讀取器間距Dx后電壓增量DVstor,如下面的公式所示:

Vstor的增量電壓DVstor與RF-DC轉換器輸出的平均電流Iavg以及標簽跨過讀取器間距Dx所用時間Dt相關,如以下公式所示:

其中Cstorage是儲電電容。在資產運輸系統中,物體的移動速度v保持恒定。因此,可以假定:

實際上,公式(5)在對系統性能有影響的基本參數之間建立起一個有用的關系,為設計系統重要參數提供了有價值的見解,能夠幫助設計人員選擇最佳的系統架構,獲得最佳的性能。該公式表明,在儲電電容Cstorage、電壓Vstor的最大值Vh和標簽速度v給定時,通過最大化Iavg和Dx的乘積可以實現最佳性能。參數Iavg和Dx都與RF-DC轉換器的設計和架構有關。實際上,Iavg是RF-DC轉換器輸出的平均電流,電流值與PCE性能有關,因此,若發射功率已定,則PCE越高, Iavg電流值就越大。Dx取決于RF-DC轉換器的靈敏度性能,因此,靈敏度性能越高,讀取器間距就越大。為了減少讀取器數量,必須將靈敏度和PCE雙雙提高。資產跟蹤系統中的無線電力傳輸需要處理千差萬別的功率狀況。事實上,根據讀取器與標簽的間距、天線方向、發射通道數量,輸入功率在從極低到較高的范圍內變化,更嚴重的是,可用輸入功率大小可能是隨機變化的。
在本文提出的系統中,資產標簽在經過讀取器時需要處理輸入功率的巨大變化。當位于讀取器掃描范圍的最遠端時,標簽接收到能量很小;隨著標簽逐漸接近讀取器,收到的能量越來越高。標準RF-DC轉換器體系結構僅優化標簽距離讀取器相對較遠時的接收靈敏度,不適用本文提出的系統。同理,僅優化標簽在某一特定輸入功率時的PCE性能,盡管當標簽靠近讀取器時效果良好,但也不勝任本文提出的系統。當然,在靜態工作條件下,讀取器和標簽之間的距離是固定并已知的,這些解決方案可能效果理想,但在動態工作條件下則差強人意。不幸的是,對于典型的RF-DC電路架構,很難同時優化靈敏度和PCE性能,因為這兩個參數往往是相互對立的。
因此,動態系統需要具有利用MPPT技術在較大范圍內動態跟蹤可用能量的能力[73-78]。所有的MPPT技術都有一個共同的要求,就是測量輸入功率。然而,這在超低功率環境中并不是一項簡單的事情,因為這個功能不可避免地會消耗更多的電能,并有可能進一步降低系統的PCE效率,這也是為什么在被收集能量非常低的情況下,通常很難確定MPPT電路是否有使用價值的原因。關于這一專題,參考文獻[79]提出了一種創新技術,介紹了如何通過監測復制和空載的通用能量采集器(RF-DC轉換器)的輸出DC開路電壓,有效、動態地跟蹤標簽接收到的輸入功率。
CMOS RF-DC轉換器的典型結構是一系列級聯倍壓器,即經典的兩級Dickson電荷泵[80]。達到系統要求的靈敏度功率值必需使用多級電荷泵。此外,在給定輸入功率值Pin時,電路PCE性能通常是最大值,Pin取值非常接近或在大多數情況下就是靈敏度功率值。系統使輸出DC電壓保持固定,通常使用最大允許電壓。但是,如果輸出DC電壓恒定,并且級數NoS保持不變,則隨著輸入功率變高,電路不再是最理想狀態,能效將會降低。如圖5所示,這是一個基于6級RF-DC轉換器的系統,射頻功率分為三個等級:P1 = 18 dBm(靈敏度功率值),P2 = 12 dBm和P3 = 6 dBm。

圖5. 靜態RF-DC轉換器的功率轉換效率(PCE) 與DC輸出電壓關系
因此,如圖6所示,為了保持最高的靈敏度性能,同時恢復和優化PCE性能,必需根據已知輸入功率Pin改變轉換器的級數NoS。此外,圖6還給出了一個三級RF-DC轉換器的三種不同設置,即N1 = 6,N2 = 4和N3 =2。當級數最高時,NoS = N1 = 6,PCE數值在最低輸入功率Pin= P1 = 18 dBm時最大。如果功率增加到Pin = P2 = 12 dBm,通過將級數減少到NoS = N2 = 4,可以實現最大PCE。當輸入功率進一步增加到Pin = P3 = 6 dBm時,要想獲得最高 PCE,級數必須減到NoS = N3 = 2。

圖6. 動態RF-DC轉換器的功率轉換效率(PCE) 與DC輸出電壓關系.

圖7. 在868 MHz時 PCE與輸入功率的關系.
在本文提出的系統中,按照本文提出的設計建議,RF-DC轉換器采用868 MHz頻率。有限狀態機(FSM)電路發出數字信號NoS,用于確定RF-DC轉換器的最佳級數,如圖1所示。超低功耗管理單元通過開路電壓Voc信號測量輸入接收功率。這些功能使系統在靈敏度和PCE性能之間找到最佳平衡點。
當無電池BLE標簽跨過讀取器間距Dx時,Cstorage電容器的瞬間充電電流Idc(x)不是恒定電流,而是讀取器與標簽之間的距離x的函數。因此,下面是無電池BLE標簽跨越讀取器間距Dx時接收到的平均充電電流Iavg的計算公式:

Idc(x)是接收到的瞬間電流,電流大小與以下因素相關:發射功率、接收和發射天線的增益、讀取器與節點之間的最小和最大距離Dy和Dmax、RF-DC轉換器的工作頻率和 PCE效率。圖8是RF-DC轉換器的接收瞬時電流Idc(x)與距離x的關系圖,其中讀取器與節點之間的最小距離Dy為0.5 m,RF-DC轉換器靈敏度準許讀取器與節點之間最大距離Dmax為1.5 m。表征測試頻率868 MHz,讀取器發射功率設為27 dBm。功率發射器和射頻能量收集器均裝有Laird的Revie Pro天線[81]。

圖8. 在868 MHz時RF-DC輸出電流與標簽至讀取器間距的關系
4.速度測量
本部分介紹如何測量一個配備無電池BLE標簽的資產,以恒定速度v通過資產跟蹤系統時的速度。測速場景與圖4所示的場景相同,資產標簽通過多個排成一條直線的間距相等的射頻讀取器。下面是標簽速度v的計算公式:

公式(7)表示如何根據BLE標簽發射第一個數據包時所穿過的讀取器數量NoR來估算資產的移動速度,其中Vh、Iavg、Dx、Cstorage等參數都在系統設計階段就確定下來了。
在實際系統中,這個公式相當于在無電池BLE標簽完成初始啟動,向讀取器發送數據后,獲悉已收到標簽數據的讀取器的序號。通過計算已收到RSSI(最高接收信號強度)信號的讀取器的數量,可以確定讀取器序號。將RSSI與BLE廣播數據包中包含的發射功率信息一起使用,還可以確定信號的路徑損耗,并通過下面的公式確定設備的距離:

這個計算結果可以幫助優化定速資產運送系統(例如傳送帶)的成本。這種方法的優點是不需要專門的傳感器來檢測物體的移動速度,因為該信息是系統固有參數。實際上,可以通過獲悉讀取器檢測到的RSSI以及標簽首次發射數據時所經過的讀取器的數量,來估計資產的運輸速度。因此,通過在BLE讀取器和無電池BLE資產標簽之間實現一個簡單的RF WPT,該系統可以同時完成資產識別、速度檢測和控制功能,而無需安裝硬件速度傳感器。
5.實驗結果
出于實驗目的,本文提出的跟蹤系統被開發出來并進行了測試。實際系統規定讀取器與標簽的最小距離Dy = 0.4 m。系統芯片的實驗表征結果顯示,在讀取器與標簽的最大距離Dmax = 1.5 m時,平均電流為1 A,根據公式(9),算出讀取器間距Dx是2.9 m。
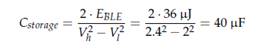
標簽BLE芯片加2V偏置電壓,配置為無法連接的無目標廣播模式,發射32字節廣播數據包,輸出功率14 dBm,如前文所述,在這種配置下,BLE的能耗EBLE估計約36 J,即BLE芯片從Cstorage電容器中消耗36 J電能。根據公式(10),為了最小化Cstorage電容值,電壓Vstor的最大值Vh盡可能選擇最高值,而最小值Vl盡可能選擇最低值。因此,Vh = 2.4 V是由系統芯片的130 m CMOS技術所允許的最大工作電壓定義的。設定Vl= 2V,是為了給BLE芯片加1.8V偏置穩壓,給DC/DC轉換器的功率級提供200 mV的電壓裕量。

為了提供一些功率裕量和更多的能量,以便可選擇性地激活其它嵌入式傳感器,在標簽中使用了一個330 F的Cstorage電容器。實驗裝置包括四個讀取器、便攜式示波器、機器人和無電池BLE標簽。把讀取器排列成正方形,相鄰讀取器2.9 米等長間距。每個讀取器都設為27 dBm發射功率。在測量過程中,標簽連接便攜式示波器,通過機器人恒速與讀取器平行移動,標簽與讀取器的間距Dy保持恒定。在0.05 m/s、0.1 m/s、0.2 m/s三種不同的恒定速度下分別測量數次。圖9-11所示的波形描述了在初始啟動及以后的過程中電壓Vstor的變化情況。這些數據是從其中一次測量中提取的,并給出了示波器獲取的實驗數據。這些圖表還給出了根據標簽速度v、讀取器間距Dx、RF-DC轉換器輸出的平均電流Iavg、Vstor電壓最大值Vh和儲電電容等實驗條件。
此外,這些圖表還給出了通過公式(5)推算出的理論上的讀取器數量NoR。這些實驗結果與以前的實驗測量值有良好的相關性。還可以觀察到,在初始啟動期間,電壓Vstor不會連續上升,而是根據標簽的移動速度階梯式上升。由于標簽連續通過四個讀取器,因此,標簽在初始啟動后繼續保持充電和發射狀態。充放電模式似乎是不規則的,并且不是周期性的,因為在標簽通過讀取器的過程中,Cstorage電容的瞬間充電電流隨著標簽的移動而變化。因此,可以觀察到,當標簽逐漸接近讀取器時,電壓Vstor的上升速率非常快,而當標簽逐漸遠離讀取器時,上升速率較慢。充電電流的不連續性是產生不規則且非周期性的充放電模式的原因,這與通過WPT為靜止標簽充電的情況完全不同。這些圖表證明公式(5)的估算結果是正確的。在資產跟蹤系統中,初始啟動是指資產第一次被跟蹤識別的事件,完成初始啟動階段所需的讀取器數量NoR與資產移動速度v相關,速度v越高,所需讀取器數量NoR越多。最后,標簽發射被跟蹤資產的ID,讀取器接收信息,并發送到WSN網絡。

圖9.標簽以0.05 m/s的速度穿過讀取器的實驗結果

圖10.標簽以0.1 m/s的速度穿過讀取器的實驗結果

圖11.標簽以0.2m/s的速度穿過讀取器的實驗結果
系統功能驗證測試是在有工業傳送帶的實際環境中進行的。實驗裝置包括一條傳送帶、六個便攜式讀取器、無電池BLE標簽和便攜式示波器。傳送帶長18 m,六個讀取器設為連續發射功率27 dBm,并沿傳送帶一邊等間距排列放置,讀取器間距Dx = 2.9 m,讀取器與標簽間距Dy = 0.4 m,如圖12所示。圖13是標簽和測量標簽的便攜式示波器。在完成初始啟動階段前,標簽一直在讀取器之間往返移動。在第一個實驗中,標簽安裝了一個330 F的Cstorage電容器,在跨過第 33個讀取器后,完成初始啟動階段,與公式(5)的計算結果相符。在第二個實驗中,Cstorage電容降到100 F,越過13個讀取器后初始啟動成功,完全符合公式(5)的推算結果。
這些實驗重復做三遍,實驗結果相同。

圖12.實驗裝置:讀取器的放置和安裝在傳送帶上的標簽及標簽所連的示波器。

圖13.實驗裝置:安裝在傳送帶上的標簽及標簽所連示波器。
6.結論
本文詳細介紹了一個基于RF WPT技術的無電池BLE標簽資產跟蹤系統,研究目的是探索有助于最大程度減少射頻讀取器數量的設計見解和最佳解決方案。本著這個研究目的,本文選擇了基于WPT和BLE通信的系統架構,提出一個利用最大電壓Vh、RF-DC轉換器的靈敏度和PCE、標簽的移動速度、能耗等系統參數,計算所需最少讀取器數量NoR的數學模型。本文還開發一個系統設計方法,并采用該方法計算讀取器的最小數量。數學模型還針對專門設計和表征的RF-DC轉換器的特定電路體系結構,提供了系統設計見解和指導原則。此外,本文還提供了無電池BLE資產跟蹤標簽的速度和讀取器數量之間的數學關系。最后,為證明實驗結果與所提出模型之間的一致性,所提出的計算最小讀取器數量和測量速度的方法的可行性,本文進行了實際系統測試。
免責聲明:本文為轉載文章,轉載此文目的在于傳遞更多信息,版權歸原作者所有。本文所用視頻、圖片、文字如涉及作品版權問題,請電話或者郵箱聯系小編進行侵刪。




