【導讀】傳感元件可將相關物理量轉換為電信號。傳感元件的常見輸出特征是非線性,即傳感元件的輸出不隨相關物理量的變化而發生線性變化。這種非線性會導致測量不準確,存在誤差。本文主要介紹糾正線性可變差分變壓器 (LVDT) 定位傳感器中非線性問題的方法,適用于汽車液壓閥定位傳感等眾多應用。此外,本文探討的內容還適合超聲波停車輔助等其它類型的汽車傳感器應用。
支持高頻率輸出的傳感器
許多傳感元件產生的電信號都是相對的高頻率信號。這既是因為傳感元件的激勵信號是高頻率信號,也因為被測量的物理量在性質上屬于高頻率。典型的例子就是使用 LVDT 定位傳感器對汽車液壓閥進行定位測量。該傳感器屬于高頻率性質的原因是 LVDT 初級線圈是通過5KHz 等高頻信號激勵的。同樣,超聲波停車輔助應用使用的壓電變送器輸出也屬于高頻率,因為變送器測量的是超聲波強度,其信號頻率大于 20KHz。

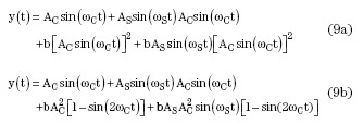
在傳感器輸出高頻率信號的情況下,信號信息通常大多嵌入在信號的振幅中。圖 1 是高頻率傳感器信號的時間曲線圖,而且振幅代表傳感器測量的物理量變化。該信號的數學表達式為:
其中 AC 是傳感器的激勵振幅,ωC 是以弧度/秒為單位的傳感器激勵頻率,AS 是需測量物理量的振幅,而ωS 則是以弧度/秒為單位的需測量物理量的頻率。
假定有用信號的振幅小于高頻率載波信號的振幅,則 y(t) 就是無失真的調幅信號。
注意,在某些情況下,信號信息也能嵌入在信號的頻率中。例如,如果正在移動的汽車需要使用保險杠或后視鏡中的超聲波變送器測量與另一輛移動車輛的距離,那么信號的頻率將根據多普勒效應提供相關車輛相對速度的信息。
本文討論的重點是如何從高頻率傳感器的輸出提取振幅信息。提取振幅信息的技術也稱為振幅解調。
自上個世紀初 AM 無線電廣播傳輸的興起,振幅解調技術就一直存在。無論在模擬域還是數字域,都存在可從信號中提取振幅信息的眾多解決方案。此外,解調進程不僅能提取信號的振幅,同時也能提取傳感器輸出信號相對于傳感器激勵的相位信息。前一種解調技術被稱為異步解調,而后一種技術則被稱為同步解調。
根據上述定義,本文的側重點將限定在一個特定的振幅-提取技術類別,即數字異步振幅解調。
為什么這一小類技術至關重要呢?隨著德州儀器 (TI) LBC8LV 工藝等混合信號集成電路(IC) 高級制造技術的問世,我們可使用混合信號信號處理器為各種類型的-傳感器提供支持。采用此類傳感器時,信號調節一部分在模擬域中進行,一部分在數字域中進行。雖然信號調節架構已具有量化功能,但如果設計得當,這類器件能夠帶來靈活性,為大多數傳感器應用提供足夠的準確度。應用工程師能夠輕松為其特定應用方案定制信號調節器,從而可加速其產品開發進程。
TI 推出的 PGA450-Q1 就是混合信號信號調節器的典型范例,可用于超聲波停車輔助應用中采用的汽車傳感器。具體而言,該信號調節器先使用放大器將電信號放大,然后再使用數字異步振幅解調技術提取信號振幅。
數字異步振幅解調技術
探討數字異步振幅解調技術的兩種方法:峰值法和均值法。
峰值法
在本異步解調方法中,可提取每個頻率周期的傳感器輸出信號峰值,也就是說,該過程將在底層載波信號的頻率下使信號及時離散。
如果我們已經知道了底層信號的頻率(通常都是這樣的),而且如果信號呈正弦波(這是典型的高頻率激勵信號),則提取的峰值就是每個周期中正弦波的振幅。也就是說,第 n 個載波頻率周期的峰值可以表達為下列數學式:
PGA450-Q1 可實施峰值解調法。
均值法
采用異步解調法時,可首先對傳感器信號進行整流。整流輸出隨后使用低通濾波器進行濾波。等式 1 中描述的信號全波整流輸出用數學式表達為:

其中 u(t) 是振幅等于 1、頻率等于ωC 的方波。

因此,整流后的輸出可以表達為:

然后使用增益為 0dB、截止頻率為ωC 的低通濾波器對整流輸出進行濾波,濾波后的輸出可表示為:

公式 6 表示可使用這種方法提取信號。
非線性影響
在線性系統中,系統的輸出與輸入成比例,換言之,輸出為:
其中 x 代表系統輸入,y 代表系統輸出,而 ai 則代表系數。為簡化分析,可將偏移項(即與輸入信號無關的項)忽略不計。
在非線性系統中,系統的輸出含有高次輸入項,即輸出為:

具體就 LVDT 信號調節而言,等式 1 中給出的振幅調制信號可能會受非線性的影響。導致非線性的可能原因包括:
1、驅動信號失真,或載波具有較高階諧波。載波含有高階諧波的原因是載波信號本身是非線性系統的輸出:
2、非線性信號鏈,或信號輸出相對于其輸入呈非線性:
3、非線性變送器,或變送器的輸出相對于其測量的物理量呈非線性:

注意,頭兩個非線性來源是性能不理想的信號生成器/調節器導致的結果,而第三種非線性來源則是變送器造成的。
此外,上述所有非線性情況在系統中可能同時存在,從而會使信號鏈的輸出用數學式表達異常復雜。
解決非線性問題
現在,我們不僅將解決由非理想信號生成器和調節器帶來的兩種非線性來源問題,而且還將分析常見非線性系統形式之一的二階非線性系統。該分析可進一步延伸至更高階的非線性以及非線性變送器輸出。
失真驅動信號
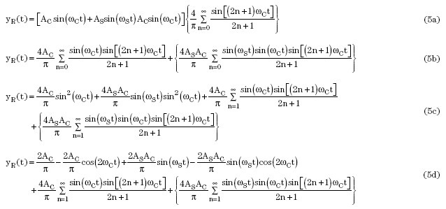
在存在失真驅動信號(或載波信號)的情況下,通過三角函數運算并設a1=1,a2=b,等式1 給出的振幅調制載波信號可表示為:

等式 9 說明,除了大約為ωC 的信號外,變送器輸出還提供 0 弧度/秒和大約 2ωC 的頻率組分。
最大限度減少頻率組分(在 0 弧度/秒和大約 2ωC 下)的明確方法是使用中心頻率設定在ωC、而且帶寬足夠的帶通濾波器。具體而言,帶寬應具有在 wC±wS 范圍內無顯著衰減的特性。這樣的帶通濾波器,其輸出可表達為:

然后,無論采用峰值法還是均值法,都能通過解調該帶通濾波器輸出來提取變送器信號。
非線性信號鏈
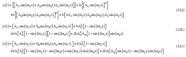
二階信號鏈非線性的存在會導致振幅調制信號發生下列變化:
設 a1=1、a2=b,經過下列三角函數運算,可將等式 11 表示為:

等式 12 再次說明,除了大約為ωC 的信號外,變送器輸出還提供 0 弧度/秒和大約 2ωC 及各種更高頻率的頻率組分。
再次使用中心頻率設定在ωC、具有足夠帶寬的帶通濾波器,可以減少非線性引起的頻率組分。使用這樣的帶通濾波器,帶通濾波器的輸出可表達為:

然后,無論采用峰值法還是均值法,都能通過解調該帶通濾波器輸出來提取變送器信號。
結論
LVDT 定位傳感器的輸出可能會呈非線性。本文介紹的在信號鏈中使用帶通濾波器的方法可能是一種有效解決信號非線性問題的方法。
圖 2 是本文所述 LVDT 信號調節器的簡化方框圖。具體來說,該方框圖說明了如何在信號鏈中使用帶通濾波器。

注意,TI PGA450-Q1 信號調節器專為汽車超聲波停車輔助傳感器精心設計,已包含帶通濾波器。
推薦閱讀:



