- 傳感器在微量注射泵中的應用
- 使用容柵傳感器把機械位移量轉變電信號的相位變化量
- 使用光電傳感器把發射端和接收端之間光的強弱變化轉化為電流的變化
- 使用電阻式壓力傳感器將被測的非電量轉換成電阻值的變化
微量注射泵是臨床醫療和生命科學研究中一種經常使用的,長時問進行均勻微量注射的儀器。現今國內外微量注射泵面臨的難點是精度不夠和成本比較高。國內同類產品采用軟件控制注射的精度,這導致儀器容錯性很差,并且只使用單一廠家的注射器。而國外同類產品采用電位計控制注射的精度,要達到高的精度則對電位計的要求很高。
傳感器是一種能感受或響應規定的被測量物理量,并按一定規律轉換成可用信號輸出的器件或裝置,它可將輸入變量轉換成可供檢測的電信號,并將各種參量送入計算機系統,進行智能監測、控制,是測量系統中的一種前置部件。近年來,傳感器的應用正朝著兩個方向發展,一是單一功能傳感器朝著多用途傳感器的綜合應用發展;二是傳感器與微處理機接口,既改進傳感器的測量精度和可靠性,又提高微處理機的運算精度,二者相輔相成。
當前,傳感器已廣泛用于工業、農業、交通、能源、宇宙空間、資源開發、環境保護、自然災害預報、醫療保健以及癌癥診斷等各個領域。本文研究了幾種傳感器在測量中的應用,選取了容柵傳感器等傳感器用于微量注射泵系統的設計,成功地提高了注射精度,并兼容多個廠家的注射器,增強了微量注射泵的功能。本文將闡述這些傳感器在微量注射泵中的應用。

容柵傳感器
容柵傳感器是一種基于變面積工作原理,可測量大位移的電容式數字傳感器,與其它數字式位移傳感器,如光柵、感應同步器等相比,具有體積小、結構簡單、分辨率和準確度高、測量速度快、功耗小、成本低、對使用環境要求不高等突出的特點,因此在電子測量技術中占有十分重要的地位。
隨著測量技術向精密化、高速化、自動化、集成化、智能化、經濟化、非接觸化和多功能化方向的發展,容柵傳感器的應用越來越廣泛。本系統中主要是對直線位移的測量,所以采用直線型容柵傳感器。容柵傳感器的結構非常類似于平行板電容器,它是由一組排列成柵狀結構的平行板電容器并聯而成的,如果把隨時間變化的周期信號,通過電子電路的控制,在同一瞬間以不同的相位分布,分別加載于順序排列的柵狀電容器各個柵極上,則在另一公共極板上,任一瞬間產生的感應信號將與該瞬間加載的激勵信號具有相同的相位分布。
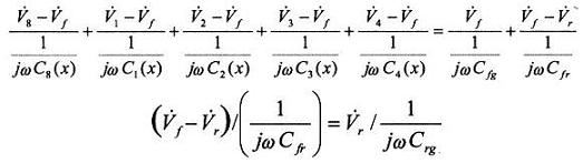
容柵傳感器動柵、定柵各極板之間形成的電容的等效電路如圖1所示,設C1(x),C2(x),C3(x)……C8(x)為動柵上48塊極板與定柵上相應極板所構成的電容量,它是位移x的函數,假設小發射極板與反射極板完全覆蓋時兩者之間的電容為C0,每一塊小發射極板的寬度為w,則由圖可知,當0≤x≤w時,C8(x)=C0(x)/w,C1(x)=C2(x)=C3(x)=C0,C4(x)=C0(1-x/w),c5(x)=c6(x)=c7(x)=0。由此可以得出整個量程中兩極板之間的電容量隨位移x的變化規律。
由圖1可以看出,在x為任何值時,動柵上的48塊極板中總有一部分與“地”(屏蔽板)形成電容,相應的輸入信號源直接接入“地”,對傳感器的輸出信號不產生影響,可是為了導出φ(x)(φ(x)為傳感器的輸出信號相對于某一驅動信號的相位移)隨位移量x連續變化的統一公式,在推導中不考慮這些極板對“地”形成電容,而仍把它們看作對定柵板形成電容,只不過此時它們的電容量為零而已。由于這些電容量為零,則其阻抗為無窮大。[page]
相應的信號源全部落在這些電容上,同樣,對傳感器的輸出信號無影響。如果給容柵傳感器每組發射極板上所加的發射電壓V1~V8為8路頻率、幅值相同而相鄰小極板間相位相差為π/4的正弦交變電壓,則在發射極上有電壓Vf,在接收極上有電壓Vr。應用交流電路理論及基爾霍夫電流定律,解讀圖l的等效電路,如下:

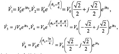
如果用Vo表示各發射極電壓的幅值,并取8路信號中的第1路信號的相位為參考值,則有:

其中φ0為V1的相角。將上述各量及Ci(x)(i=1,2,…,8)代入以上兩式,即得

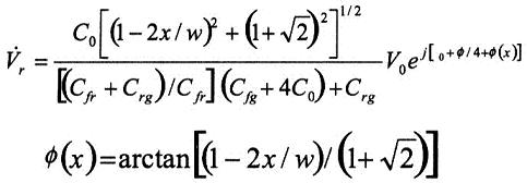
可見,容柵傳感器的輸出電壓是一頻率與發射電壓相同的正弦電壓,其幅值在很小范圍內變化,可近似看作一常數,而相位比V1超前了π/4+φ(x)。相位移φ(x)可采用鑒相型測量電路測出,即可得到相對位移x,可見容柵傳感器是一種相位跟蹤型的位移傳感器,這種傳感器對輸入信號的幅值變化不敏感,故具有較好的抗干擾能力。
在整個測量系統中,容柵傳感器的主要作用是把機械位移量轉變成電信號的相位變化量,然后送給測量電路進行數據處理。容柵傳感器通過精密電壓比較器TLC354進行控制,由繼電器供電,由CPU89C52提供所需的激勵信號,同時接收其感應信號,并通過鑒相型電路測量出激勵信號與感應信號的相位差,經過一系列的變化,即可得出活塞移動的長度距離。
[page]
光電開關
在設計中,為了兼容多個廠家的注射器,我們專門考慮了測量注射器直徑的問題。最初是選用高精度的CCD光學傳感器,但是考慮到主要的功能為檢測注射器的直徑,而不同型號的注射器直徑具有階躍性的特點,為了降低成本,我們將其換成了光電光電開關是一種電量傳感器,它把發射端和接收端之間光的強弱變化轉化為電流的變化,即進行電信號→光信號→電信號的轉換,以此來達到探測的目的。由于光電開關輸出回路和輸入回路是電隔離的(即電緣絕),所以它可以在許多場合得到應用。其工作原理如圖2所示。

在本系統中我們選用光電開關的型號為HY-301-05,當鎖定注射器的閥門被提起,分別提到不同高度時,通過對光電開光的遮攔而讀出注射器的直徑。
壓力傳感器
壓力傳感器是工業實踐中最常用的一種傳感器,而我們通常使用的壓力傳感器主要是利用壓電效應的壓電傳感器。目前,壓力傳感器的種類很多,有振動筒式、石英波登管式、壓阻式、應變片式等。本系統中采用的是電阻式壓力傳感器,其工作原理是將被測的非電量轉換成電阻值,通過測量此電阻值達到測量非電量的目的。傳統的電阻應變式壓力傳感器是一種由敏感柵和彈性敏感元件組合起來的傳感器,如圖3所示。
應變片用粘合劑粘貼在彈性敏感元件上,當彈性敏感元件受到外施壓力作用時,將產生應變,電阻應變片將它們轉換成電阻變化,再通過電橋電路及補償電路輸出電信號。在產品中我們采用CZA-102的壓力傳感器,此傳感器的芯片具有精度高、漂移小、測試范圍大的特點,當注射器的針頭的阻力大于正常值時,壓力傳感器即可檢測到電壓信號的變化,然后經過放大,再經過模數轉換,轉換為數字信號。
圖4為壓力傳感器的應用電路圖,該電路采用的電橋構成測量電壓,是一種具有較高靈敏度的測量方法。無差壓時,電橋兩臂平等。差壓信號加到4個陶瓷壓敏電阻上,壓敏電阻的阻值隨差壓而變化,引起電橋失衡。電橋失衡引起電流的變化,通過運放LM2904進行電流的放大在后面接ADC0834模數轉換芯片,把模擬信號轉化為數字信號,再傳輸至CPU進行處理。

本文在比較國內外現有微量注射泵存在的不足的基礎上,研究了傳感器在微量注射泵中的一些新的應用。通過這些應用,成功地提高了注射精度,降低了成本,其適用范圍廣及功能全面等特點使得市場前景十分廣泛。




