【導讀】為什么很多射頻系統或者部件中,很多時候都是用50歐姆的阻抗,這個數值是怎么確定下來的,背后有什么意義呢?本文將為您打開其中的奧秘。
我們知道射頻的傳輸需要天線和同軸電纜,射頻信號的傳輸我們總是希望盡可能傳輸更遠的距離,為了傳輸更遠的距離,我們往往希望用很大的功率去發射信號便于覆蓋更大的通信范圍。可是實際上,同軸電纜本身是有損耗的,和我們平常使用得導線一樣,如果傳輸功率過大,導線會發熱甚至熔斷。這樣,我們就有一種期望,試圖尋找一種能夠傳輸大功率,同時損耗又非常小的同軸電纜。

大概在1929年,貝爾實驗室做了很多實驗,最終發現符合這種大功率傳輸,損耗小的同軸電纜其特征阻抗分別是30歐姆和77歐姆。其中,30歐姆的同軸電纜可以傳輸的功率是最大的,77歐姆的同軸電纜傳輸信號的損耗是最小的。30歐姆和77歐姆的算術平均值為53.5歐姆,30歐姆和77歐姆的幾何平均值是48歐姆,我們經常所說的50歐姆系統阻抗其實是53.5歐姆和48歐姆的一個工程上的折中考慮,考慮最大功率傳輸和最小損耗盡可能同時滿足。而且通過實踐發現,50歐姆的系統阻抗,對于半波長偶極子天線和四分之一波長單極子天線的端口阻抗也是匹配的,引起的反射損耗是最小的。
我們常見的系統中,比如電視TV和廣播FM接收系統中,其系統阻抗基本上都是75歐姆,正是因為75歐姆射頻傳輸系統中,信號傳輸的損耗是最小的,TV和廣播FM接收系統中,信號的傳輸損耗是重要的考慮因素。而對于帶有發射的電臺而言,50歐姆是很常見的,因為最大功率傳輸是我們考慮的主要因素,同時損耗也比較重要。這就是為什么我們的對講機系統中,經常看到的都是50歐姆的參數指標。
如果說阻抗匹配到50歐姆,從數學上,是可以嚴格做到的,但是實際應用中的任何元件,線路,導線都存在損耗,而且設計的任何系統部件都存在一定的射頻帶寬,所以匹配到50歐姆,工程上只要保證所有的帶內頻點落在50歐姆附近即可。在Smith圓圖上來看,就是盡可能趨近于圓圖的圓心即可,確保帶內的射頻傳輸信號盡可能沒有反射損耗,獲得最大程度的能量傳輸。

為什么大多數工程師喜歡用 50 歐姆作為 PCB 的傳輸線阻抗(有時候這個值甚至就是 PCB 板的缺省值) ,為什么不是 60 或者是 70 歐姆呢?
對于寬度確定的走線,3 個主要的因素會影響 PCB 走線的 阻抗。首先,是 PCB 走線近區場的 EMI(電磁干擾)和這個走線距參考平面的高度是成一定的比例關系的,高度越低意味著輻射越小。其次,串擾會隨走線高度有顯著的變化,把高度減少一半,串擾會減少到近四分之一。最后,高度越低阻抗越小,不易受電容性負載影響。所有的三個因素都會讓設計者把走線盡量靠近參考平面。阻止你把走線高度降到零的原因是,大多數芯片驅動不了阻抗小于 50 歐姆的傳輸線。(這個規則的特例是可以驅動 27 歐姆的Rambus,以及 National 的的 BTL 系列,它可以驅動 17 歐姆)并不是所有的情況都是用50歐姆最好。例如,8080 處理器的很老的 NMOS 結構,工作在 100KHz,沒有 EMI,串擾和電容性負載的問題,它也不能驅動 50 歐姆。對于這個處理器來說,高的阻抗意味著低功耗,你要盡可能的用細的,高的這樣有高阻抗的線。純機械的角度也要考慮到。例如,從密度上講,多層板層間距離很小,70 歐姆阻抗所需要的線寬工藝很難做到。這種情況,你應該用 50 歐姆,它的線寬更加寬,更易于制造。
同軸電纜的阻抗又是怎么樣的呢?在 RF 領域,和 PCB 中考慮的問題不一樣,但是RF 工業中同軸電纜也有類似的阻抗范圍。根據 IEC 的出版物(1967年),75 歐姆是一個常見的同軸電纜(注:空氣作為絕緣層)阻抗標準,因為你可以和一些常見的天線配置相匹配。它也定義了一種基于固態聚乙烯的 50 歐姆電纜,因為對于直徑固定的外部屏蔽層和介電常數固定為 2.2(固態聚乙烯的介電常數)的時候,50 歐姆阻抗趨膚效應損耗最小。

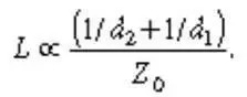
你可以從基本的物理學來證明 50 歐姆是最好的,電纜的趨膚效應損耗 L(以分貝做單位)和總的趨膚效應電阻 R(單位長度)除以特性阻抗 Z0 成正比。總的趨膚效應電阻 R 是屏蔽層和中間導體電阻之和。屏蔽層的趨膚效應電阻在高頻時,和它的直徑d2 成反比。據濾波器公眾平臺了解,同軸電纜內部導體的趨膚效應電阻在高頻時,和他的直徑 d1 成反比。總共的串聯電阻 R,因此和(1/d2 +1/d1)成正比。綜合這些因素,給定 d2 和相應的隔離材料的介電常數 ER,你可以用以下公式來減少趨膚效應損耗。
在任何關于電磁場和微波的基礎書中,你都可以找到 Z0 是 d2,d1 和 ER(博主注:絕緣層的相對介電常數)的函數

把公式 2 帶入公式 1 中,分子分母同時乘以 d2,整理得到

公式 3 分離出常數項(/60)*(1/d2),有效的項((1+d2/d1 )/ln(d2/d1 ))確定最小點。仔細查看公式三公式的最小值點僅由 d2/d1 控制,和 ER 以及固定值 d2 無關。以 d2/d1為參數,為 L 做圖,顯示 d2/d1=3.5911 時(注:解一個超越方程),取得最小值。假定固態聚乙烯的介電常數為 2.25,d2/d1=3.5911 得出特性阻抗為 51.1 歐姆。很久之前,無線電工程師為了方便使用,把這個值近似為 50 歐姆作為同軸電纜最優值。這證明了在0 歐姆附近,L 是最小的。但這并不影響你使用其他阻抗。例如,你做一個 75 歐姆的電纜,有著同樣的屏蔽層直徑(注:d2)和絕緣體(注:ER),趨膚效應損耗會增加 12%。不同的絕緣體,用最優 d2/d1 比例產生的最優阻抗會略有不同(注:比如空氣絕緣就對應 77 歐姆左右,工程師取值 75 歐姆方便使用)。
其他補充:上述推導也解釋了為什么 75 歐姆電視電纜切面是藕狀空芯結構而 50 歐姆通信電纜是實芯的。還有一個重要提示,只要經濟情況許可,盡量選擇大外徑電纜(博主注:d2),除了提高強度外,更主要的原因是,外徑越大,內徑也越大(最優的徑比d2/d1),導體的 RF 損耗當然就越小。
為什么 50 歐姆成為了射頻傳輸線的阻抗標準?一個最為流傳的故事版本,來自于 Harmon Banning 的《電纜:關于 50 歐姆的來歷可能有很多故事》。在微波應用的初期,二次世界大戰期間,阻抗的選擇完全依賴于使用的需要.對于大功率的處理,30 歐姆和 44 歐姆常被使用。另一方面,最低損耗的空氣填充線的阻抗是 93 歐姆。在那些歲月里,對于很少用的更高頻率,沒有易彎曲的軟電纜,僅僅是填充空氣介質的剛性導管。半剛性電纜誕生于 50 年代早期,真正的微波軟電纜出現是大約 10 年以后了。隨著技術的進步,需要給出阻抗標準,以便在經濟性和方便性上取得平衡。在美國,50 歐姆是一個折中的選擇;為聯合陸軍和海軍解決這些問題,一個名為 JAN 的組織成立了,就是后來的 DESC,由 MIL 特別發展的,據濾波器公眾平臺了解到,歐洲選擇了 60 歐姆。事實上,在美國最多使用的導管是由現有的標尺竿和水管連接成的,51.5 歐姆是十分常見的。看到和用到 50 歐姆到 51.5 歐姆的適配器/轉換器,感覺很奇怪的。最終 50 歐姆勝出了,并且特別的導管被制造出來(也可能是裝修工人略微改變了他們管子的直徑)。不久以后,在象 Hewlett-Packard 這樣在業界占統治地位的公司的影響下,歐洲人也被迫改變了。75 歐姆是遠程通訊的標準,由于是介質填充線,在 77 歐姆獲得最低的損耗。93 歐姆一直用于短接續,如連接計算機主機和監視器,其低電容的特點,減少了電路的負載,并允許更長的接續;濾波器公眾平臺建議,如果有感興趣的朋友可以自行查閱 MIT RadLab Series 的第 9 卷,里面有更詳細的描述。
推薦閱讀:





