【導讀】近來,LLC拓撲以其高效,高功率密度受到廣大電源設計工程師的青睞,但是這種軟開關拓撲對MOSFET的要求卻超過了以往任何一種硬開關拓撲。特別是在電源啟機,動態負載,過載,短路等情況下。CoolMOS 以其快恢復體二極管,低Qg 和Coss能夠完全滿足這些需求并大大提升電源系統的可靠性。
近來,LLC拓撲以其高效,高功率密度受到廣大電源設計工程師的青睞,但是這種軟開關拓撲對MOSFET的要求卻超過了以往任何一種硬開關拓撲。特別是在電源啟機,動態負載,過載,短路等情況下。CoolMOS 以其快恢復體二極管,低Qg 和Coss能夠完全滿足這些需求并大大提升電源系統的可靠性。
一、摘要
長期以來, 提升電源系統功率密度,效率以及系統的可靠性一直是研發人員面臨的重大課題。 提升電源的開關頻率是其中的方法之一, 但是頻率的提升會影響到功率器件的開關損耗,使得提升頻率對硬開關拓撲來說效果并不十分明顯,硬開關拓撲已經達到了它的設計瓶頸。而此時,軟開關拓撲,如LLC拓撲以其獨具的特點受到廣大設計工程師的追捧。但是,這種拓撲卻對功率器件提出了新的要求。
二、LLC 電路的特點
LLC 拓撲的以下特點使其廣泛的應用于各種開關電源之中:
1.LLC 轉換器可以在寬負載范圍內實現零電壓開關;
2.能夠在輸入電壓和負載大范圍變化的情況下調節輸出,同時開關頻率變化相對很?。?/div>
3.采用頻率控制,上下管的占空比都為50%;
4.減小次級同步整流MOSFET的電壓應力,可以采用更低的電壓MOSFET從而減少成本;
5.無需輸出電感,可以進一步降低系統成本;
6.采用更低電壓的同步整流MOSFET, 可以進一步提升效率。
三、LLC 電路的結構及原理
圖1和圖2分別給出了LLC諧振變換器的典型線路和工作波形。如圖1所示LLC轉換器包括兩個功率MOSFET(Q1和Q2),其占空比都為0.5;諧振電容Cr,副邊匝數相等的中心抽頭變壓器Tr,等效電感Lr,勵磁電感Lm,全波整流二極管D1和D2以及輸出電容Co。

圖1 LLC諧振變換器的典型線路

圖2 LLC諧振變換器的工作波形
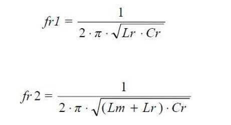
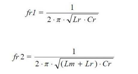
而LLC有兩個諧振頻率,Cr, Lr 決定諧振頻率fr1; 而Lm, Lr, Cr決定諧振頻率fr2。
系統的負載變化時會造成系統工作頻率的變化,當負載增加時, MOSFET開關頻率減小, 當負載減小時,開關頻率增大。

3.1 LLC諧振變換器的工作時序
LLC變換器的穩態工作原理如下:
1)〔t1,t2〕
Q1關斷,Q2開通,電感Lr和Cr進行諧振,次級D1關斷,D2開通,二極管D1約為兩倍輸出電壓,此時能量從Cr, Lr轉換至次級。直到Q2關斷。
2)〔t2,t3〕
Q1和Q2同時關斷,此時處于死區時間, 此時電感Lr, Lm電流給Q2的輸出電容充電,給Q1的輸出電容放電直到Q2輸出電容的電壓等于Vin.
次級D1和D2關斷 Vd1=Vd2=0, 當Q1開通時該相位結束。
3)〔t3,t4〕
Q1導通,Q2關斷。D1導通, D2關斷, 此時Vd2=2Vout
Cr和Lr諧振在fr1, 此時Ls的電流通過Q1返回到Vin,直到Lr的電流為零次相位結束。
4)〔t4,t5〕
Q1導通, Q2關斷, D1導通, D2關斷,Vd2=2Vout
Cr和Lr諧振在fr1, Lr的電流反向通過Q1流回功率地。 能量從輸入轉換到次級,直到Q1關斷該相位結束
5)〔t5,t6)
Q1,Q2同時關斷, D1,D2關斷, 原邊電流I(Lr+Lm)給Q1的Coss充電, 給Coss2放電, 直到Q2的Coss電壓為零。 此時Q2二極管開始導通。 Q2開通時相位結束。
6)〔t6,t7〕
Q1關斷,Q2導通,D1關斷, D2 開通,Cr和Ls諧振在頻率fr1, Lr 電流經Q2回到地。 當Lr電流為零時相位結束。
3.2 LLC諧振轉換器異常狀態分析
以上描述都是LLC工作在諧振模式, 接下來我們分析LLC轉換器在啟機, 短路, 動態負載下的工作情況。
3.2.1 啟機狀態分析
通過LLC 仿真我們得到如圖3所示的波形,在啟機 個開關周期,上下管會同時出現一個短暫的峰值電流Ids1 和Ids2. 由于MOSFET Q1開通時會給下管Q2的輸出電容Coss充電,當Vds為高電平時充電結束。而峰值電流Ids1和Ids2也正是由于Vin通過MOSFET Q1 給Q2 結電容Coss的充電而產生。
圖3 LLC 仿真波形
我們將焦點放在第二個開關周期時如圖4,我們發現此時也會出現跟 個開關周期類似的尖峰電流,而且峰值會更高,同時MOSFET Q2 Vds也出現一個很高的dv/dt峰值電壓。那么這個峰值電流的是否仍然是Coss引起的呢? 我們來做進一步的研究。

圖4 第二個開關周期波形圖
對MOSFET結構有一定了解的工程師都知道,MOSFET不同于IGBT,在MOSFET內部其實寄生有一個體二極管,跟普通二極管一樣在截止過程中都需要中和載流子才能反向恢復, 而只有二極管兩端加上反向電壓才能夠使這個反向恢復快速完成, 而反向恢復所需的能量跟二極管的電荷量Qrr相關, 而體二極管的反向恢復同樣需要在體二極管兩端加上一個反向電壓。在啟機時加在二極管兩端的電壓Vd=Id2 x Ron。而Id2在啟機時幾乎為零,而二極管在Vd較低時需要很長的時間來進行反向恢復。如果死區時間設置不夠,如圖5所示高的dv/dt會直接觸發MOSFET內的BJT從而擊穿MOSFET。

圖5
通過實際的測試,我們可以重復到類似的波形,第二個開關周期產生遠比 個開關周期高的峰值電流,同時當MOSFET在啟機的時dv/dt高118,4V/ns。而Vds電壓更是超出了600V的 大值。MOSFET在啟機時存在風險。

圖6
3.2.2 異常狀態分析
下面我們繼續分析在負載劇烈變化時,對LLC拓撲來說存在那些潛在的風險。
在負載劇烈變化時,如短路,動態負載等狀態時,LLC電路的關鍵器件MOSFET同樣也面臨著挑戰。
通常負載變化時LLC 都會經歷以下3個狀態。我們稱之為硬關斷,而右圖中我們可以比較在這3個時序當中,傳統MOSFET和CoolMOS內部載流子變化的不同, 以及對MOSFET帶來的風險。

時序1,Q2零電壓開通,反向電流經過MOSFET和體二極管,此時次級二極管D2開通,D1關段。
-傳統MOSFET此時電子電流經溝道區,從而減少空穴數量
-CoolMOS此時同傳統MOSFET一樣電子電流經溝道,穴減少,不同的是此時CoolMOS 的P井結構開始建立。
時序2,Q1和Q2同時關斷,反向電流經過MOSFETQ2體二極管。
Q1和Q2關斷時對于傳統MOSFET和CoolMOS來說內部電子和空穴路徑和流向并沒有太大的區別。

時序3,Q1此時開始導通,由于負載的變化,此時MOSFET Q2的體二極管需要很長的時間來反向
恢復。當二極管反向恢復沒有完成時MOSFET Q2出現硬關斷, 此時Q1開通,加在Q2體二極管上的電壓會在二極管形成一個大電流從而觸發MOSFET內部的BJT造成雪崩。
-傳統MOSFET此時載流子抽出,此時電子聚集在PN節周圍, 空穴電流擁堵在PN節邊緣。
-CoolMOS的電子電流和空穴電流各行其道, 此時空穴電流在已建立好的P井結構中流動,并無電子擁堵現象。
綜上, 當LLC電路出現過載,短路,動態負載等條件下, 一旦二極管在死區時間不能及時反向恢復, 產生的巨大的復合電流會觸發MOSFET內部的BJT使MOSFET失效。
有的 CoolMOS采用Super Juction結構, 這種結構在MOSFET硬關斷的狀態下, 載流子會沿垂直構建的P井中復合, 基本上沒有側向電流, 大大減少觸發BJT的機會。
四、如何更容易實現ZVS
通過以上的分析,可以看到增加MOSFET的死區時間,可以提供足夠的二極管反向恢復時間同時降低高dv/dt, di/dt 對LLC電路造成的風險。但是增加死區時間是 的選擇么?下面我們進一步分析如何夠降低風險提升系統效率。
圖7
對于LLC 電路來說死區時間的初始電流為:

而LLC能夠實現ZVS必須滿足:
而小勵磁電感為:

根據以上3個等式,我們可以通過以下三種方式讓LLC實現ZVS:
加Ipk;
第二, 增加死區時間;
第三, 減小等效電容Ceq即Coss。
從以上幾種狀況,我們不難分析出。增加Ipk會增加電感尺寸以及成本,增加死區時間會降低正常工作時的電壓,而 好的選擇無疑是減小Coss,因為減小無須對電路做任何調整,只需要換上一個Coss相對較小MOSFET即可。
五、結論
LLC 拓撲廣泛的應用于各種開關電源當中,而這種拓撲在提升效率的同時也對MOSFET提出了新的要求。不同于硬開關拓撲,軟開關LLC諧振拓撲,不僅僅對MOSFET的導通電阻(導通損耗),Qg(開關損耗)有要求,同時對于如何能夠有效的實現軟開關,如何降低失效率,提升系統可靠性,降低系統的成本有更高的要求。CoolMOS,具有快速的體二極管,低Coss,有的可高達650V的擊穿電壓,使LLC拓撲開關電源具有更高的效率和可靠性。
免責聲明:本文為轉載文章,轉載此文目的在于傳遞更多信息,版權歸原作者所有。本文所用視頻、圖片、文字如涉及作品版權問題,請電話或者郵箱聯系小編進行侵刪。



