【導讀】如參考文獻中所描述,可采用標準過程來確定鎖相環(PLL)中二階環路濾波器的R0、C0 和CP 數值。它采用開環帶寬(ω0)和相位裕量(?M)作為設計參數,并可擴展至三階環路濾波器,從而確定R2 和C2(圖1)。該過程可直接解出CP,然后推導出其余數值。
2 可能是集成在PLL內的固定值元件,因此僅有R0 和C0 用來控制環路響應。這便使得上述過程無效,因為無法調節CP。本文提出一種替代過程,可在CP 數值固定時使用,突破了無法控制CP 值造成的限制。

圖1. 典型二階和三階無源環路濾波器
假設條件
本環路濾波器設計方法基于兩個假設,在三階無源濾波器設計中,通過調節R0 和C0 來補償R2 和C2,可以將一個二階環路濾波器設計擴展為三階設計,此時通常會采用這兩個假設條件。
R2 和C2 形成的極點頻率應當至少比ω0(所需開環單位增益帶寬)大一個數量級;f0 ≤ 0.1/(2πR2C2),其中f0 = ω0/(2π)。
R0-C0-CP 網絡的R2 和C2 串聯組合的負載可忽略不計。
二階環路濾波器的傳遞函數
二階環路濾波器有兩個時間常數(T1 和T2)與元件有關:

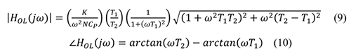
環路濾波器傳遞函數的T1、T2 和CP 很重要,因為它對于PLL 的整體響應起著很大的作用:
PLL系統函數
圖2 中的小信號模型為PLL響應的等式化提供了一種途徑,并為分析輸入端相位干擾所造成的輸出端相位變化提供了模板。注意,壓控振蕩器(VCO)作為一個頻率源,表現為理想的相位積分器,因而其增益(KV)系數為1/s(對積分進行等效拉普拉斯變換)。因此,PLL的小信號模型是復頻率s的函數(s = σ + jω)。

圖2. PLL小信號模型
PLL的閉環傳遞函數(HCL)定義為:θOUT/θIN。開環傳遞函數(HOL)定義為:θFB/θIN,與閉環傳遞函數相關。建議以HOL 來表示HCL,因為開環傳遞函數包含閉環穩定性的線索:

K 表示鑒頻鑒相器(PFD)、電荷泵和VCO的組合增益——也就是說,K = KDKV,其中KD 表示電荷泵電流,單位為A;KV 表示VCO增益,單位為Hz/V。HOL、HCL 和HLF 均為s 的函數。等式4 中的負號表示圖2 中求和節點的負反饋導致相位反轉。根據等式4 定義的HOL導致等式5 中分母的減法運算,直觀地解釋了閉環穩定性。
檢查等式5,可以發現潛在的環路穩定性問題。由于HOL 是復數頻率s = σ + jω的函數,它必然具有取決于頻率的幅度和相位分量。因此,對于任意的s 值,如果HOL 同時表現出單位增益和零點相移特性(或2π 弧度的整數倍),則HCL 分母為零,閉環增益再次變為未定義,系統變得極不穩定。這意味著穩定性受依賴于頻率的HOL 幅度和相位特性所控制。事實上,在使得HOL 為單位幅度的頻率處,HOL 相位必須離開零(或離開2π 任意整數倍)足夠遠,才能避免等式5 中的分母為零。
使HOL 為單位幅度處的頻率ω0 非常重要。ω0 處的HOL 相位決定了系統的相位裕量?M。ω0 和?M 都可由HOL 推導得出。
根據ω0 和?M 定義R0 和C0
0 和C0
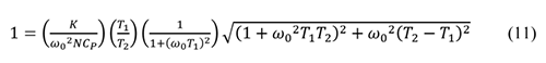
使用設計參數ω0 和?M 來確定R0 和C0 值要求表達式包含這四個變量,以及其它常數項。可以從等式4 入手,因為等式4 定義了HOL。這樣便將HLF 加入其中,進而通過T1 和T2 加入R0 和C0。由于HOL 具有幅度和相位,因此原則上ω0 和?M 也能加入其中。將等式3 代入等式4,重新排列各項可得等式6;等式6 以T1 和T2 以及常數K、N 和CP 來表示HOL:
將等式3 代入等式4,重新排列各項可得等式6;等式6 以T1 和T2 以及常數K、N 和CP 來表示HOL:
在s = jω 時進行評估,可得HOL 頻率響應如下:
分母中的(jω)2 項可簡化為–ω2:
HOL 幅度和相位為:

記住,T1 和T2 是R0、C0 和CP 代數組合的縮寫表達式。ω = ω0 時評估等式9,并使|HOL| = 1 即可定義單位增益頻率ω0,表示HOL 為單位幅度時的頻率。

類似地,ω = ω0 時評估等式10,并使∠HOL = ?M 即可定義相位裕量?M,表示頻率為ω0(單位增益頻率)時的HOL 相位。
擴展等式11 和等式12 很容易,將等式1 中的T2 和等式2 中的T1 代入即可將R0 和C0 帶入等式。因此,我們順利地將ω0 和?M 與變量R0 和C0 以及常數K、N 和CP 相關聯。
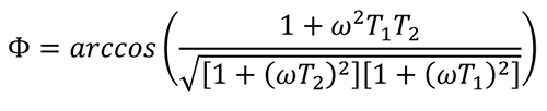
同時求解我們所得到的等式中的R0 和C0 很困難。MathCad®提供的符號處理器可求解這兩個聯立方程,但必須以arctan 代替arccos。進行變換后,符號處理器便可求解R0 和C0,得到下列解集(R0A、C0A;R0B、C0B;R0C、C0C;以及R0D、C0D)。有關對等式12 進行變換以便使用arccos 函數的詳細信息請參見附錄。

這個結果是有問題的,因為目標是在給定ω0 和?M 的情況下求解 R0 和C0;而運算結果表明存在四對可能的R0 和C0,而非唯一的R0、C0 對。然而,若進一步檢查這四組結果,便可得出只有一組解。
注意,就PLL 建模而言,上述等式中的所有變量都具有正值,包括cos(?M);這是因為,?M 的范圍限制在0 和π/2 之間。因此,C0A和R0B 顯然是負數。由此可知,R0A、C0A 和R0B、C0B 可立即加以排除,因為元件值不可能為負,但需進一步分析R0C、C0C 和R0D、C0D。
注意,包含R0C、C0C 和R0D、C0D 在內的四個等式有公因數:
進一步分析可知,等式13 的形式為:a2 – (2ac)cos(β) + c 2。以b2表示該式,可得:
等式14 即為余弦定理,以a、b 和c 表示三角形的三條邊長度,β 表示頂點對邊b 的內角。由于b2 表示三角形一條邊長度的平方,它必須為正,這也就意味著等式14 的等號右邊也必須為正。因此,等式13 必須為正,意味著R0D 的分母為正。R0D 的分子同樣為正,因此R0D 必須為負,這便排除了R0D、C0D。這使得僅有R0C、C0C對可作為等式11 和等式12 的解。

R0 和C0 的限制
雖然等式15 和等式16 有可能是等式11 和等式12 的公共解,但它們僅在R0 和C0 均為正時才有效。仔細檢查R0 可知其為正——它的分子為正,因為cos2(x)范圍為0 到1,且它的分母與等式13相同,由前文可知其為正。C0 分子同樣與等式13 相同,因此只要分母滿足下列條件,C0 就為正:
圖3 以圖形方式表示這種關系;不等式17 左右兩側均等于y(藍色曲線和綠色曲線),水平軸共享ω0 和?M。兩條曲線的交點表示ω0 和?M 的邊界。紅色弧線部分所表示的條件使等式17 成立。紅色弧線下方的水平軸部分決定了C0 為正的?M 和ω0 范圍。注意,藍色曲線和綠色曲線交點正下方水平軸上的點確定了?M_MAX,即?M 的最大值;該值確保C0 為正。
等式18 要求CPNω02 小于K,才能滿足?M_MAX 的arccos 范圍為0到π/2 的限制條件。這便確定了ω0_MAX,即ω0 的上限,保證C0為正。

圖3. C0 分母的限制條件
補償R2 和C2(三階環路濾波器)
就三階環路濾波器而言,R2 和C2 分量產生額外的相移Δ?;該相 移與二階環路濾波器有關:
為了處理這個額外的相移,應將其從所需的?M 值中扣除。
將?M_NEW 代入等式15 和等式16 可得到不同的R0 和C0,然后針對二階解,將新數值用來補償R2 和C2 引入的額外相移。R2 和C2 的存在還會影響?M_MAX,即?M 的最大允許值。?M 新的最大值(?M_MAX_NEW)為:
結論
本文演示了僅有R0 和C0 元件值可調節時,如何使用開環單位增益帶寬(ω0)和相位裕量(?M)作為二階或三階環路濾波器的設計參數。采用R0 和C0 的二階環路濾波器仿真PLL,結果與HOL 以及由此得到的相位裕量理論值完美吻合,從而驗證了這些等式。根據等式19和等式18,參數ω0和?M 針對二階環路濾波器分別具有上限值。
確定R0 和C0 的過程中對二階環路濾波器進行了假設,但通過將所需的相位裕量(?M)根據等式21 調節為新的值(?M_NEW)便可擴展應用到三階環路濾波器的設計中,進而根據等式22 得到一個新的上限值(?M_MAX_NEW)。
雖然使用二階環路濾波器進行仿真可驗證等式15 和等式16,但若要驗證將設計過程擴展至三階環路濾波器的等式則需對環路濾波器響應HLF(s)進行重新定義,使其包含R2 和C2,如下所示:

將HLF 的這種形式應用到HOL 和HCL 等式,便可使用R0 和C0 仿 真三階環路濾波器設計。對其進行仿真可知,當使用三階環路濾波器時,由理論頻率響應和相位裕量推導而得的R0 和C0 計算值與PLL 的HOL 有關。這主要是因為受到了三階環路濾波器中HOL的R2 和C2 影響。
如前所述,R0 和C0 等式假定為使用二階環路濾波器,但在二階濾 波器中不存在R2 和C2,因此雖然通過調節R0 和C0 可以補償R2和C2 造成的相移,但是將它們看做二階環路濾波器的一部分還是會構成一個誤差源。然而,哪怕存在這樣的誤差,仿真結果也表明,使用經過調節的R0 和C0 值,但將ω0 限制在最高為等式19推導結果的¼也能獲得令人滿意的結果。事實上,仿真開環帶寬和相位裕量的結果表明,使用三階環路濾波器的PLL,其與設計參數(ω0 和?M)的偏差很小。
仿真結果
以下為針對三階環路濾波器PLL 運行四次仿真的結果。所有仿真均采用下列固定環路濾波器元件和PLL 參數:
CP = 1.5 nF
R2 = 165 kΩ
C2 = 337 pF
KD = 30 µA
KV = 3072 (25 ppm/V at 122.88 MHz)
N = 100
仿真1 和仿真2 使用ω0 = 100 Hz,該值接近124.8 Hz 的計算上限值(ω0_MAX)。因此,仿真1 和仿真2 偏離設計參數值(ω0 和?M)約10%。另一方面,仿真3 和仿真4 使用ω0 = 35 Hz,約為上限值的¼。與預期相一致,仿真3 和仿真4 非常接近設計參數(ω0和?M),誤差僅為1%左右。
表1 匯總了仿真結果,并囊括了給定設計參數ω0 和?M 的R0、C0、ω0_MAX 和?M_MAX 計算值。注意,為了方便進行對比,建議仿真1和仿真3 都使用?M = 80°,但仿真1 必須滿足等式22 的限制條件,即?M
表1:仿真結果匯總

圖4 和圖5 顯示各仿真的開環和閉環響應。

圖4. 開環增益和相位

圖5. 閉環增益
附錄—將非連續Arctan 函數轉換為連續Arccos 函數
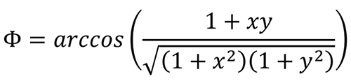
等式10 演示了角度? 等于角度θ2 和角度θ1 之差,其中θ2 =arctan(ωT2),θ1 = arctan(ωT1)。此外,ωT2 可以表示為x/1;ωT1 可以表示為y/1:

這表明兩者之間存在如圖6 所示的幾何關系,其中θ1 和θ2 分別由圖6 (b)和圖6 (a)的三角形定義。圖6 (c)結合了這兩個三角形,表示?等于θ1 和θ2 之差。
余弦定理將三角形的某個內角(θ)與三角形的三條邊(a、b 和c)相關聯,關系式如下:

將余弦定理用在圖6 (c)的? 角,得到:

圖6. 等式10 的幾何表示
求解?:

但是,由于x/1 = ωT2 且y/1 = ωT1,因此可用T1 和T2 來表示?。

參考電路
Brennan, Paul V. 鎖相環:原理與實踐. McGraw-Hill, 1996.
Keese, William O. AN-1001, National Semiconductor 應用筆記, 用于電荷泵鎖相環的無源濾波器設計技術分析與性能評估. 1996 年 5 月。
MT-086:鎖相環(PLL)基本原理
PLL 與集成VCO的PLL
推薦閱讀:




