【導讀】一般而言,在高輸出電流隔離式DC-DC電源應用中,使用同步整流器(尤其是MOSFET)是主流趨勢。高輸出電流還會在整流器上引入較高的di/dt。為了實現高效率,MOSFET 的選擇主要取決于導通電阻和柵極電荷。然而,人們很少注意寄生體二極管反向恢復電荷(Qrr)和輸出電容(COSS)。這些關鍵參數可能會增大MOSFET漏極上的電壓尖峰和振鈴。一般而言,隨著MOSFET擊穿電壓額定值的增大,導通電阻也會增大。
本文提出一種數控有源鉗位吸收器。該吸收器既可消除同步整流器上的電壓尖峰和振鈴,還能發揮設計指南作用;在隔離式DC-DC轉換器(如半橋和全橋拓撲結 構)中擁有多種其他優勢,同時還能提高可靠性,降低故 障率。
簡介
人們總是希望使用平均故障間隔時間(MTBF)較高的高可靠性電源。要打造穩健的設計,可以使用額定擊穿電壓較高的開關。但這樣做會喪失一定的效率。因此,高效率和高可靠性在實際應用中往往不可兼得。作為新一代電源解決方案的一部分,工業界一直對高效率隔離式DC-DC轉換器保持著穩定的需求。這就要求在副邊使用同步整流器。整流器的額定值一般是器件電 壓尖峰的1.2至1.5倍。電壓尖峰由漏感、寄生走線電感和整流 器輸出電容(COSS)形成的諧振所導致,諧振峰值可能高達整流器 穩態反向電壓的兩倍。一種解決方案是用無源吸收器充當RC1或 RCD2。雖然這些器件非常流行,但有損耗,會導致效率略微下 降。用于制造無損吸收器的部分技術采用的是再生吸收器(如 LCD3),但吸收器僅用于原邊開關,或者只在電源開關關閉而 非開啟期間使用RC吸收器。其他技術4,5運用泄漏電能來驅動小 型高效率轉換器,饋入輸出電壓終端。但這要求使用更多的元 件。其他技術6則將有源鉗位吸收器用于全橋相移拓撲結構,以 便消除在ZVS軟開關應用中由原邊諧振電感導致的諧振,但僅限于低占空比應用。
本文將深入探討有源鉗位吸收器電路及其數字實現方式,該吸收器電路可以避免電壓偏移,特別是能消除MOSFET中寄生二極管的反向恢復損耗,還具有多種其他優勢。轉換器(僅副邊)功率級示意圖如圖1所示。

圖1. 功率轉換器副邊(圖中所示為有源鉗位)
圖1展示的是一款隔離式DC-DC轉換器的副邊。副邊由同步整流 構成,同步整流表現為連接變壓器的H-橋。另外還有輸出濾波 器電感(LOUT)和輸出濾波器電容(COUT)。有源鉗位開關是一個P溝道 MOSFET,用于轉換柵極信號電平的柵極驅動由一個電容和一個二極管構成。
高頻等效電路
在高頻視圖中,大電感和大電容分別處于開路和短路狀態,電路分析中只使用寄生和諧振電感及電容。利用這種方法可以簡化電路,以便分析交流電流。該方法特別適用于諧振拓撲結構和使用吸收器的場合,因為在緩沖周期中,高頻電流會選擇阻抗最低的路徑。
電路的交流視圖如圖2所示。輸出濾波電感和電容分別處于開路和短路狀態。在電路中,MOSFET的輸出電容和漏電電感保持原樣。重點是轉換器的副邊,因為原邊電壓源已短路并且對分析無用。

圖2. (左)功率轉換器副邊AC視圖(圖中所示為有源鉗位)(右)簡化的AC視圖。
同步FET有源鉗位電路的工作原理
在分析中,我們假設,吸收器電容足夠大,能維持電壓恒定不變。在續流間隙(在圖3中,SR1和SR2均開啟),四個副邊開 關(MOSFET)全部開啟。受有限上升和下降時間以及柵極驅動信 號傳播延遲變化的影響,同步整流器信號之間始終存在較短的 死區時間。在該死區時間期間,MOSFET的寄生二極管會導通以續流。其后是下一半開關周期,此時,原邊MOSFET的另一個引腳啟動。這會導致變壓器繞組上的極性發生變化,同時關閉同 步整流器體二極管。然而,只要反向恢復電荷(Qrr)未耗盡,同步MOSFET的寄生二極管就不會關閉。方向如圖2所示。該Qrr被視為作為前沿尖峰從變壓器反映到原邊的多余電流。這還會增大同步MOSFET漏極上的電壓尖峰。反向恢復電荷的大小由下式 計算得到:

圖3

圖4a. trr間隔捕獲反向恢復能量期間的工作情況

圖4b. 負載中釋放的能量
漏電電感和走線電感(極性如圖2所示)導致的電壓尖峰由有 源鉗位吸收器吸收。有源吸收器開關可以在寄生二極管開啟后 在ZVS時打開。然而,當有源鉗位吸收器開啟時,吸收器電容會吸收反向恢復電流并把捕獲的能量重新注入副橋和負載中。由于通過吸收器電容的凈電流為零,所以只要轉換器工作于穩態下,吸收器就會維持電荷平衡。
設計指南
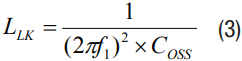
1. 估算漏電電感
讓轉換器在無吸收器的條件下工作,測量同步MOSFET漏極上振 鈴電壓尖峰的諧振頻率和周期(f1)。另外,測量原邊電流波形上的前沿尖峰(應等于trr)。要估算漏電電感,要使電容的已知值(C2)至少比MOSFET漏極/源極電容大一個數量級。用下式測量 振鈴頻率(f2),計算電容(COSS)和漏電(LLK)電感:

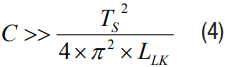
2. 選擇有源鉗位吸收器電容
選擇一個輸出電容至少為同步MOSFET輸出電容10至100倍的吸收器電容。這是因為有源吸收器開關會有一條低阻抗路徑。然而,吸收器電容的選擇必須做到:

其中,Ts為開關周期。
在下列最小延遲條件下打開有源鉗位吸收器:
這兩項為驅動器的傳播延遲和原邊MOSFET的驅動信號上升時間。這個時序非常重要,因為必須捕獲MOSFET體二極管的全部反向恢復能量。該時間取決于同步MOSFET體二極管的反向恢復特性(Qrr、trr、Irr),可能隨器件上的溫度、負載電流和反向電壓等因素而變化。延遲時間和吸收器導通時間可以用本文所述方法精確設置以針對不同的開關特性進行優化。
確定鉗位電容值的另一種方法是使用以下公式。該公式基于諧振周期,在此期間,將漏電電能釋放到鉗位電容中。
該值的范圍為:
為了避免在第1點上觀察到過多的振鈴,導通時間應不超過一個或兩個諧振周期,否則,會出現過多的連續振鈴。或者,吸收器的導通時間可以取上面第1點中觀察到的前沿尖峰的導通時間的近似值(如trr)。過多的導通時間只是會導致能量再諧振幾個周期,可以在原邊電流波形中看到這一點(圖8和圖9)。
3. 選擇吸收器開關
(1)的一個簡化版本是使用MOSFET數據手冊中的最差條件限值。以下公式更加詳細地展現了電容中電流的情況:

使用因子2是因為考慮的只是半個開關周期,對于全橋或半橋拓撲結構,該過程發生兩次。另外,在圖1中,由于兩個開關關閉,所以反向恢復電荷會增加一倍。因此,總電流為:
其中,在全橋配置下,C為2;在中心抽頭配置下,C為1;N為 并聯的MOSFET數目。這是通過有源吸收器開關的平均電流。
數字實現
有源鉗位吸收器的數字實現有兩個控制:控制1是吸收器延遲(自觸發器邊沿的吸收器PWM邊沿中的可調延遲)。控制2為吸收器PWM導通時間。觸發點為H橋對邊引腳原邊PWM上升沿的邏輯OR(如OUTC和OUTD)。吸收器PWM并不要求像主控 PWM分辨率一樣高的分辨率(如125 ps)。結果,觸發所需時 鐘能支持較慢的速率(5 ns分辨率),這樣還能節能(40倍系 數)。這一概念也可以運用到副邊上有中心抽頭的功率轉換拓 撲結構。另外,該概念也可以用于單個開關,在這些開關中,每個功率晶體管上會放置一個分立式有源鉗位開關吸收器單元。在這種情況下,有源鉗位FET的驅動信號取自同步整流器的下降沿。

圖5. 吸收器PWM的數字實現
ADP1055數字控制器提供了實現這一目標的必要工具。借助直觀簡單的圖形用戶界面,只需幾分鐘就能完成有源鉗位吸收器的優化。ADP1055提供了兩個選項來設置吸收器PWM,即通過SR1 和SR2的邏輯組合或通過OUTC和OUTD信號的邏輯組合。在兩種情況下,可以用兩個選項配置吸收器PWM,如圖6和圖7所示。在上述所有情景下,都可以用吸收器延遲(設置死區時間)和吸收器導通時間微調優化參數。借助兩個信號的邏輯組合和極性選擇功能,用戶完全可以自由地選擇適當的吸收器組合。

圖6. 使用選項1(SR1和SR2)的吸收器時序

圖7. 使用選項2(OUTC和OUTD)的吸收器時序
全橋拓撲結構的實驗結果
為了進行實驗驗證,選擇的隔離式DC-DC轉換器,其額定輸入為48 V,額定輸出為12 V、20 A,開關頻率為125 kHz。拓撲結構為全橋,帶一個副邊,如圖1所示。
圖8展示了使用不正確的吸收器導通時間會導致多余振鈴,同時 還展示了同步MOSFET的振蕩漏極電壓,后者也反映在原邊電流中。前沿尖峰也很嚴重,會導致不必要的EMI。

圖8. 過多的吸收器導通時間
圖9所示為優化的吸收器導通時間,其中,在同步MOSFET的漏極電壓上無振鈴。同時,前沿尖峰也幾乎消除了。

圖9. 優化的吸收器時序
圖10所示為同步MOSFET在有源鉗位吸收器不存在條件下的漏極電壓。電壓偏移可能非常嚴重,達穩態電壓的1.5倍,并且MOSFET有可能進入雪崩條件。

圖10. 不存在有源鉗位吸收器
圖11所示為有源鉗位吸收器的有效性。前沿尖峰被完全消除, MOSFET漏極上無振鈴。

圖11. 存在有源鉗位吸收器

圖12. 0 A負載條件下的吸收器有效性
- 綠線:SR漏極,10 V/div
- 藍線:鉗位FET柵極-源極電壓,5 V/div
- 黃線:負載電流,10 A/div

圖13. 20 A負載條件下的吸收器有效性
- 綠線:SR漏極,10 V/div
- 藍線:鉗位FET柵極-源極電壓,5 V/div
- 黃線:負載電流,10 A/div
半橋拓撲結構的實驗結果
對半橋拓撲結構進行了額外的實驗驗證,額定輸入為48 V,額定輸出為9 V、200 W,開關頻率為180 kHz。

圖14. 有源鉗位吸收器禁用
- 紅線:SR1漏極,5 V/div
- 藍線:SR2漏極;5 V/div
- 綠線:吸收器PWM,5 V/div

圖15. 有源鉗位吸收器使能
- 紅線:SR1漏極,5 V/div
- 藍線:SR2漏極;5 V/div
- 綠線:吸收器PWM,5 V/div

圖16. 有源鉗位吸收器條件下軟啟動期間的SR漏極波形
- 黃線:吸收器FET柵極-源極電壓,5 V/div
- 紅線:SR1漏極,10 V/div
- 藍線:SR2漏極,10 V/div
- 綠線:輸出電壓,2 V/div

圖17. 有源鉗位吸收器條件下軟啟動期間的SR漏極波形
- 黃線:吸收器FET柵極-源極電壓,5 V/div
- 紅線:SR1漏極,10 V/div
- 藍線:SR2漏極,10 V/div
- 綠線:輸出電壓,2 V/div

圖18. 短路測試過程中的SR漏極電壓
- 黃線:負載電流,5 A/div
- 紅線:SR1漏極,10 V/div
- 藍線:SR2漏極,10 V/div
- 綠線:輸出電壓,2 V/div
布局考慮
圖8所示為上述半橋拓撲結構的布局。關鍵點是通過縮短環路或將其限制在較窄區域,減小鉗位環路的寄生電感。否則會降低鉗位的有效性,并在鉗位周期內導致高頻振鈴。

圖19. 有源鉗位吸收器布局
結論
本文展示了有源鉗位吸收器電路在隔離式DC-DC轉換器高輸出電流應用中的數字實現方式。提出的有源-鉗位方案具有多種優勢,比如更低的鉗位電壓,可以降低MOSFET 額定擊穿電壓,從而提高效率。同時還消除了振鈴,結果可以減少電磁干擾(EMI)。這是一種低成本的簡單電路,驅動方案也很簡單。另外,與需要額外電感的其他有源吸收器相比,還可以節省PCB板空間。整體而言,電源的可靠性得到了大幅提升。此外,消除了前沿尖峰,結果降低了對原邊開關的壓力。另外,更高的效率可以降低發熱量,這對散熱困難的受限區域中的模塊非常有用。
ADP1055數字控制器提供了實現上述任務的必要工具,無需編寫復雜的程序或代碼。ADP1055還支持多種其他功能,比如黑盒、軟停、命令掩碼、非線性增益等。
參考電路
1 K. Harada, T. Ninmomiya, and M. Kohno.“Optimum Design of RC Snubbers for Switching Regulators.”(優化開關調節器RC吸收器的設計)IEEE Transactions on Aerospace and Electronic Systems, Vol. AES–15, pp. 209–218, 1979.
2 C.G.Steyn.“Optimum Size of Dissipative Nonlinear Turn-Off Snubber.”(耗散式非線性關機吸收器的最佳尺寸)IEE Proceedings, Vol. 135, Pt. B, No. 4, 1988.
3 C.K.Huang, C.T.Chen, H.H.Nien, S.K.Changchien, and H.W.Shieh.“Optimal Design of Lossless Passive Snubber for DC/DC Converters.”(面向DC/DC轉換器的無損無源吸收器的優化設計)First International Conference on Innovative Computing, Information and Control, Vol. 1, pp. 559–602, 2006.
4 M. Cacciato and A. Consoli.“New Regenerative Active Snubber Circuit for ZVS Phase Shift Full-Bridge Converter.”(面向ZVS相移全橋轉換器的新型再生有源吸收器電路)Applied Power Electronics Conference and Exposition, pp. 1507–1511, 2011.
5 T. F. Wu, Y. C. Chen, J. G. Yang, and C. L. Kuo, (2010).“Isolated Bidirectional Full-Bridge DC–DC Converter with a Flyback Snubber.”(帶反激式吸收器的隔離式雙向全橋DC–DC轉換器)IEEE Transactions on Power Electronics, Vol. 27, No. 7, pp. 1915–1922.
6 J.A.Sabate, V. Vlatkovic, R.B.Ridley, and F.C.Lee.“High Voltage High Power, ZVS Full-Bridge PWM Converter Employing an Active Snubber.”(采用有源吸收器的高電壓高功率、ZVS全橋PWM轉換器)IEEE APEC 1991, ~158–16.
本文轉載自亞德諾半導體。
推薦閱讀:



