【導讀】本文依據光伏發電站無功補償技術規范及風電場接入電力系統技術規定,分別介紹了進行光伏電站和風電場的無功配置計算與分析。
一、光伏電站的無功配置計算
一般需要依據《GB 19964-2012 光伏發電站接入電力系統技術規定》,《GBT 29321-2012 光伏發電站無功補償技術規范》進行光伏電站的無功配置分析。
光伏電站逆變器可發出無功功率,但考慮電站能為系統提供一定的無功儲備容量,需配置無功補償裝置。無功補償容量應結合實際接入電網情況確定,其配置的容性無功補償容量,應為光伏電站額定出力時升壓變壓器無功損耗、線路無功損耗及線路充電功率之和,其配置的感性無功補償容量應能夠補償全部線路的充電功率。
圖1:荒漠電站的系統拓撲
一般的,升壓變無功損耗所占總無功損耗的比例接近70% ,送出線路中的架空線產生的無功損耗占總無功損耗22%以上,光伏電站全部電纜線路產生的無功損耗所占比例約為8%;另外,電站的感性無功需求遠小于容性無功需求。
對于SVG這樣的無功補償設備,可以實現額定感性到額定容性的連續調節,因此可以以容性無功需求量來配置SVG容量。
為減少計算的工作量,可進行近似計算,其無功補償容量只需考慮升壓變無功損耗,再按照系數進行折算即可。

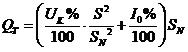
變壓器無功損耗計算公式為:

式中,QT 為變壓器無功損耗,kvar;UK %為變壓器短路電壓百分數,I0%為變壓器空載電流百分數;S為變壓器的視在功率,kVA;SN 為變壓器額定容量kVA。一般的,升壓變的短路電壓百分值為6.7%,空載電流百分值為0.4%。
按照此參數,升壓變的無功需求約為電站總容量的7%,整個電站無功需求為10%;若光伏電站并網工程采用一次升壓,即升壓至35 kV并網,其無功補償容量可按光伏電站總容量的10%配置。
考慮光伏電站容量對接入電網電壓等級的要求及實際并網點對電壓等級的限制,光伏電站并網工程可能需要兩次升壓,若光伏電站接入系統電壓等級為110 kV,則還需進行35 kV/110 kV升壓方可接入電網,一般35 kV/110 kV升壓變短路電壓百分值為10.5%,空載電流百分值為0.67%,因此若采用兩次升壓,其無功補償容量可按光伏電站總容量的20%配置。
二、風電場的無功配置計算
一般需要依據《GBT_19963-2011風電場接入電力系統技術規定》進行風電場的無功配置分析。

風電場的無功損耗主要由4部分構成:
1)箱式變壓器:箱式變壓器將風機的電壓由690V升壓到1OkV或35kV,一臺風機對應一臺箱式變壓器。
2)集電線路:風機的電力經過箱式變壓器升壓后通過集電線路將電力送至風電場升壓站。
3)升壓變壓器:風電場升壓站內升壓變壓器將集電線路送來的電力升壓后送出。
4)風電場送出線路:升壓變壓器將風電電力升壓后經送電線路接入電力系統。
同樣的,上述無功損耗中變壓器損耗占比最大,計算公式相同。一般的箱式變壓器短路電壓百分值為4.5%,空載電流百分值為0.9%,無功配置容量應在5.4%以上。升壓變壓器短路電壓百分值為9%,空載電流百分值為0.19%,無功配置容量應在9.2%以上。再加上集電線路和送出線路的無功損耗,整個風電場的無功配置應在20%以上。
所以風電場的無功配置容量一般按照電站容量的20%比例來配置。


