通過對開關變壓器伏秒容量的測量,可以知道開關變壓器的鐵芯是否正好工作于最佳磁感應強度的位置上;以及占空比,或者工作頻率,是否取得合理;同時還可以檢查開關變壓器鐵芯氣隙長度取得是否合適。
長期以來,人們在設計或使用開關變壓器的時候,一般只關心開關變壓器的輸入、輸出電壓、電流的大小,以及電感量等參數,而很少關心開關變壓器的伏秒容量。其實,開關變壓器的伏秒容量也是一個非常重要的參數,不過,目前很多人并不十分清楚伏秒容量到底是個什么東西,或者怎樣對伏秒容量進行測試,以及怎樣使用伏秒容量這個參數。
因此,這里將詳細介紹什么是開關變壓器的伏秒容量,然后再分析怎樣對開關變壓器的伏秒容量進行測量及應用。
什么是開關變壓器的伏秒容量
圖1是反激式開關電源的工作原理圖,所謂反激式開關變壓器輸出電源,就是當開關變壓器的初級線圈正好被直流脈沖電壓激勵時,開關變壓器的次級線圈沒有向負載提供能量輸出,僅在開關變壓器初級線圈的激勵電壓消失之后,開關變壓器鐵芯中存儲的磁能量才通過次級線圈轉化成反電動勢向負載提供功率輸出,這種開關電源稱為反激式開關電源。
在圖1中,當輸入電壓E加于開關變壓器初級線圈N1的兩端時,由于開關變壓器次級線圈產生的電動勢與流過二極管的電流方向正好相反,相當于所有次級線圈均開路,此時開關變壓器相當于一個電感L1。其等效電路如圖2-a) 所示,圖2-b) 是開關接通時,電感兩端的電壓和流過電感L1的電流。


[page]
從圖2可以看出,流過開關變壓器的電流只有勵磁電流,即:開關變壓器鐵心中的磁通量全部都是由勵磁電流產生的。如果開關變壓器初級線圈的電感量是恒定的,或開關變壓器鐵芯的導磁率永遠保持不變;那么,當控制開關接通以后,流過開關變壓器初級線圈的勵磁電流就會隨時間增加而線性增加,開關變壓器鐵心中的磁通量也隨時間增加而線性增加。根據電磁感應定理:
—— K接通期間 (1)
式中e1為開關變壓器初級線圈產生的電動勢,L1為開關變壓器初級線圈的電感量, 為開關變壓器鐵心中的磁通量,E為開關變壓器初級線圈兩端的輸入電壓。其中磁通量 還可以表示為:
(2)
上式中,k是一個與單位制相關的系數,S為開關變壓器鐵心的導磁面積,B為磁感應強度,也稱磁感應強度,即:單位面積的磁通量。
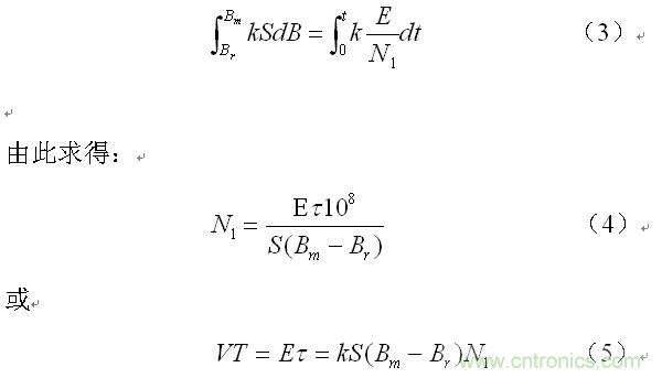
把(2)式代入(1)式,并進行積分:

(4)式就是計算開關變壓器初級線圈N1繞組匝數的公式。式中,N1為開關變壓器初級線圈N1繞組的最少匝數,S為開關變壓器鐵心的導磁面積,單位:平方厘米;Bm為開關變壓器鐵心的最大磁感應強度,單位:高斯;Br為開關變壓器鐵心的剩余磁感應強度,單位:高斯),Br一般簡稱剩磁;τ = Ton,為控制開關的接通時間,簡稱脈沖寬度,或電源開關管導通時間的寬度,單位:秒;E為工作電壓,單位為伏。式中的指數(k = 108)是統一單位用的,選用不同單位制,指數的值也不一樣,這里選用CGS單位制,即:長度為厘米(cm),磁感應強度為高斯(Gs),磁通單位為麥克斯韋(Mx)。
(5)式中, 就是開關變壓器的伏秒容量,即:伏秒容量等于輸入脈沖電壓幅度與脈沖寬度的乘積,這里我們把伏秒容量用VT來表示。
伏秒容量VT表示:一個開關變壓器能夠承受多高的輸入電壓和多長時間的沖擊。
在開關變壓器伏秒容量一定的條件下,輸入電壓越高,開關變壓器能夠承受沖擊的時間就越短,反之,輸入電壓越低,開關變壓器能夠承受沖擊的時間就越長;而在一定的工作電壓條件下,開關變壓器的伏秒容量越大,開關變壓器的鐵芯中的磁感應強度就越低,開關變壓器鐵芯就不容易飽和。
當開關變壓器的鐵芯面積固定以后,開關變壓器的伏秒容量主要就是由磁通增量 (
)的大小以及開關變壓器初級線圈的匝數N1來決定。
另外,我們知道,磁感應強度是由磁場強度來決定的,即磁通增量,也是由磁場強度來決定的。如圖3所示。
圖3中,虛線B為開關變壓器鐵芯的初始磁化曲線,所謂的初始磁化曲線就是開關變壓器鐵芯還沒有帶磁,第一次使用時的磁化曲線,一旦開關變壓器鐵芯帶上磁后,初始磁化曲線就不復存在了。因此,在開關變壓器中,開關變壓器鐵芯的磁化一般都不是按初始磁化曲線來進行工作的,而是按照一條所謂的“磁滯回線”進行的。
例如,當磁場強度增加時,磁感應強度將沿著磁化曲線ab或cd跟隨磁場強度的增加而增加;而當磁場強度減小時,磁感應強度將沿著另一條磁化曲線ba或dc跟隨磁場強度的減小而減小。因此,我們把磁化曲線ab、ba或cd、dc稱為磁滯回線。至于磁滯回線是沿著ab、ba進行,還是沿著另一條磁滯回線cd、dc進行,主要取決于磁場強度的變化幅度。
當磁場強度增加時,相當于磁場強度對開關變壓器鐵芯進行充磁;當磁場強度減少時,相當于磁場強度對開關變壓器鐵芯進行退磁。磁場強度變化幅度越大,對應的磁感應強度增量也增加,與此同時剩磁也會增加。
[page]
磁場強度由0增加到H1,對應的磁感應強度由Br1沿著磁化曲線ab增加到Bm1;而當磁場強度由H1下降到0時,對應的磁感應強度將由Bm1沿著磁化曲線ba下降到Br1 。如果不考慮磁通的方向,磁通的變化增量就是,即磁通增量
。如果磁場強度進一步增大,由0增加到H2,則磁滯回線將沿著曲線cd、dc進行,對應產生的磁通增量
。

由圖3中可以看出,對應不同的磁場強度變化量,即不同的勵磁電流變化量,磁感應強度變化量或磁通變化量也是不一樣的;因為,磁感應強度變化量或磁通變化量與磁場強度變化量并不是線性關系。
圖4是磁感應強度與磁場強度對應變化的函數曲線圖。圖4中,曲線B是磁感應強度與磁場強度對應變化的曲線;曲線 為導磁率與磁場強度對應變化的曲線。其中:
(6)
由圖4中可以看出,與導磁率最大的地方對應的并不是磁感應強度或磁場強度最小或最大的地方,而是位于磁感應強度或磁場強度變曲線某個中間值的地方。當導磁率達到最大值之后,導磁率將隨著磁感應強度或磁場強度增大,而迅速下降;當導磁率下降到將要接近0的時候,我們就認為開關變壓器鐵芯已經開始飽和,如圖中Bs和Hs.

[page]
由于導磁率的變化范圍太大,且容易飽和,因此,一般開關電源使用的開關變壓器都要在開關變壓器鐵芯中間留氣隙。
圖5是分析及計算開關變壓器鐵芯最佳氣隙長度的原理圖,圖5-a) 是中間留有氣隙開關變壓器鐵芯的示意圖,圖5-b) 是中間留有氣隙的開關變壓器鐵芯的磁化曲線圖,及計算開關變壓器鐵芯最佳氣隙長度的原理圖。

在圖5-b) 中,虛線是沒留有氣隙開關變壓器鐵芯的磁化曲線,實線是留有氣隙開關變壓器鐵芯的磁化曲線;曲線b是留有氣隙開關變壓器鐵芯的等效磁化曲線,其等效導磁率,即曲線的斜率為 ; 是留有氣隙開關變壓器鐵芯的平均導磁率; 是沒留有氣隙時開關變壓器鐵芯的導磁率。
由圖5可以看出,開關變壓器鐵芯的氣隙長度留得越大,其平均導磁率就越小,而開關變壓器鐵芯就不容易飽和;但開關變壓器鐵芯的平均導磁率越小,開關變壓器初、次級線圈之間的漏感就越大。因此,開關變壓器鐵芯氣隙長度的設計是一個比較復雜的計算過程,并且還要根據開關電源的輸出功率,以及電壓變化范圍(占空比變化范圍)等因素來綜合考慮。不過我們可以通過對開關變壓器伏秒容量的測量,同時檢查開關變壓器鐵芯氣隙長度留得是否合適。
關于開關變壓器鐵芯氣隙長度的設計,請參考《2-1-14.開關變壓器鐵芯氣隙的選取》有關章節。
順便說明,圖4中表示導磁率的 的曲線也不是一成不變的,它受溫度的影響非常大。由于開關變壓器磁芯也是一種半導體材料(金屬氧化物),很多半導體器件就是用金屬氧化物來制造的,如熱敏電阻、場效應管等。半導體材料的特性就是受溫度的影響很靈敏,當溫度上升到一定范圍以后,開關變壓器磁芯的電阻率就會變小,并開始導電。
因此,當溫度升高到一定范圍以后,在開關變壓器磁芯內部就會產生很大的渦流損耗,并使鐵芯有效導磁率急速下降。這個使開關變壓器磁芯有效導磁率急速下降的溫度點,我們把它稱為居里溫度點。在實際應用中,我們可以把開關變壓器磁芯有效導磁率下降到最大值的70%時的溫度,定義為居里溫度點。
圖6是日本TDK公司高導磁率材料H5C4系列磁芯初始導磁率 隨溫度變化的曲線圖,其居里溫度大約為105℃。

由圖6可以看出,開關變壓器磁芯的使用環境溫度,對開關變壓器的性能影響是非常大的。但我們在使用開關變壓器的時候,就很少有人去考慮或檢測開關變壓器磁芯的居里溫度。目前,一般開關變壓器還都大量選用鐵氧體磁芯,這種鐵氧體磁芯的居里溫度一般都在120℃左右,因此,我們對開關變壓器進行設計時工作溫度最好不要超過110℃。



