- 基于MSP430的直流接地檢測系統
- 討論直流接地檢測系統工作原理
- 直流接地檢測系統和絕緣的電阻檢測技術
直流電源系統主要負責為電力生產過程中的控制設備、保護設備等供電。絕緣性能下降和直流母線接地是直流電源系統常見的故障。一旦直流電源發生故障后,會影響控制設備和保護設備的正常工作,故障嚴重時甚至會導致控制設備的錯誤控制和保護設備的拒保護,從而引發生產事故。因此對直流電源系統的絕緣性能檢測和接地檢測是值得重視的問題。常見的直流接地檢測系統,多采用平衡電橋原理檢測母線的絕緣電阻,采用雙頻探測原理檢測支路的絕緣電阻,并查找接地支路。但平衡電橋原理不能檢測正負母線絕緣電阻等比例下降情況下的電阻值,而雙頻探測原理需要向系統中注入交流信號,會加大直流電源系統的紋波。本文介紹的直流接地檢測系統采用“平衡-不平衡法”檢測母線電壓,采用漏電流傳感器檢測支路絕緣電阻,有效地克服了上述方法的缺陷。
直流接地檢測系統主要用于測量直流系統的對地絕緣電阻、檢測母線接地故障。具體檢測內容包括:測量正負母線對地電壓、正負母線電壓差、正負母線對地絕緣電阻、各支路對地絕緣阻值。當發生接地故障時,判斷接地母線的正負極性和并查找具體接地支路。
1 直流接地檢測原理
1.1 直流接地檢測系統工作原理
直流供電系統由于長時間在惡劣環境中工作,線路、連接器、接線端子、刀閘等會產生老化,從而導致正負母線的絕緣性能降低,對地絕緣電阻減小,產生漏電電流。漏電流的產生將會引起流入和流出用電負載的電流不一致(部分電流經過絕緣電阻流入大地)。非接觸式直流漏電流傳感器,能夠把流入和流出傳感器的直流電流差感應成直流電壓。這樣在每個用電負載的輸入和輸出線路上安裝一個非接觸式直流漏電流傳感器,就能檢測出每個用電負載或者線路的漏電流。直流接地檢測系統則根據漏電流傳感器的感應電壓求出漏電流的大小。然后通過“平衡-不平衡法”檢測出正負母線對地電壓,根據母線電壓和漏電流求出各個支路絕緣電阻的大小。

1.2 平衡-不平衡法絕緣電阻檢測原理
平衡-不平衡檢測法,通過控制開關的接通與斷開,順序往被測線路中接入不同的平衡與不平衡電阻網絡,并同時測量檢測點A的電壓Un,根據接入的網絡結構和測得的Un電壓值,可以計算出母線電壓和母線絕緣電阻。該方法能夠有效地克服電橋平衡原理檢測法不能檢測正負母線絕緣電阻同比例下降的缺陷,也避免了雙頻探測法對直流供電系統供電紋波的影響。平衡-不平衡檢測法檢測流程,如圖2所示。
[page]

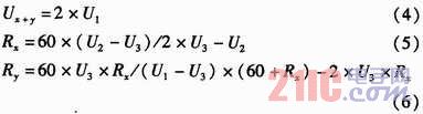
如圖2所示,U+和U-為被測線路的母線供電電壓,正常工作時兩母線間的電壓差Ux+y為440 V,且隨蓄電池內阻變化。Rx,Ry分別為被測線路的正母線絕緣電阻和負母線絕緣電阻。正、負母線絕緣電阻反映的是64路的正、負支路的總體絕緣性能,等效于各個支路的正、負絕緣電阻的并聯,正常時兩母線絕緣電阻>20 kΩ。Ux和Uy為正負母線對地電壓,大小隨正負母線的絕緣電阻變化,但兩母線電壓差恒定為Ux+y。為了檢測正負母線電壓Ux,Uy,Rx,Ry,系統采用了“平衡-不平衡檢測法”檢測母線電壓和母線絕緣電阻。計算公式如式(1)所示。
K1,K2接通,K3,K4,K5斷開時,(接入平衡電橋)
K1,K2,K3,K5接通,K4斷開時,(接入不平衡電橋)
K1,K2,K4,K5接通,K3斷開時,(接入不平衡電橋)
聯合式(1)~式(3)解方程可以求出

根據歐姆定律及分壓原理可以求出

2 系統硬件設計
直流接地檢測系統采用低功耗處理器MSP430F149為硬件核心,外圍電路可分為數據采集模塊、人機交互模塊、處理器模塊。數據采集模塊負責檢測64路支路的漏電流、母線電壓、母線絕緣電阻;人機交互模塊負責進行液晶顯示和鍵盤輸入;處理器模塊負責協調整個系統的數據處理,數據存儲,人機交互等。具體的硬件結構框圖,如圖3所示。

正負母線電壓檢測。正母線、負母線、地線經過“平衡-不平衡”檢測電橋后,由電位器對檢測點A的電壓進行分壓,得到便于采集的低壓直流信號。正負母線相對于地的電壓超過了人體的安全電壓,為了減少處理器與檢測電橋部分的連接,系統采用壓頻轉換器對分壓后的信號進行采集。由于采用了壓頻轉換器,只需要一根信號線,一個光電耦合器件就能夠實現母線電壓的檢測,提高了系統的可靠性和穩定性,簡化了系統設計。經過分壓后的低壓直流信號由電壓/頻率變換器AD7740轉換成頻率隨輸入電壓成線性關系的方波信號。該方波信號經過光耦隔離再送處理器,避免母線的高壓對操作人員造成傷害。處理器對方波信號測頻,并換算成檢測點A對應的電壓,最后根據3次測得的A點電壓及網絡結構計算出母線電壓和母線絕緣電阻。
64路支路漏電流檢。非接觸式漏電流傳感器送過來的直流感應電壓經過8個8選1模擬開關(CD4097)選擇,形成8路直流電壓信號。為了降低ADC芯片輸入阻抗對測量精度的影響,用高輸入阻抗的運放對該電壓信號進行射隨緩沖后送到A/D轉換器TLC2543的8個模擬信號輸入端。A-DC芯片內部自動進行通道切換,循環采集8個輸入端的模擬信號,采集到的數據通過SPI串行通信總線送處理器MSP430F149。
人機交互模塊分為LCD顯示和矩陣鍵盤。LCD也為串行SPI接口,與ADC芯片共用一個SPI接口,通過I/O口片選區分。LCD主要用于循環顯示當前的正負母線電壓,正負母線絕緣電阻,當前的時間,絕緣電阻異常的支路號。鍵盤采用4個I/O接口對2×2的矩陣鍵盤進行掃描,用于輸入絕緣電阻報警的上下限。母線電壓報警的上下限,選擇需要查看的存儲數據。
處理器模塊分為數據存儲,實時日歷鐘,系統復位,系統供電,JTAG調試接口等。當系統的母線電壓或者絕緣電阻異常時,儀器將會自動記錄當前的母線電壓,母線絕緣電阻,異常的支路號和當前的故障發生日期,并將其存儲到EEPROM中,以便日后查詢使用。實時日歷鐘芯片用于提供發生故障異常的時間記錄來源,并可供日常顯示。
3 系統軟件設計
本系統采用了MSP430F149處理器作為系統控制中心,在軟件設計中利用了該單片機數據存儲器大的優點,便于對64路漏電流傳感器采集的數據、母線電壓和母線絕緣電阻數據進行存儲和處理。主程序中首先完成的是各個模塊的初始化,主要包括液晶顯示器初始化、模擬切換開關初始化、模數轉換器初始化。為了確保系統工作的可靠性,系統在上電后首先進行自檢,保證系統中的各個部分硬件電路正常后,將會自動進入直流接地檢測狀態,否則顯示自檢失敗信息提示操作人員。
整個程序的編寫均由C語言完成,在程序設計中,采用了結構化程序設計方法,使各個模塊程序相對獨立,便于程序代碼的維護、移植和升級。同時,這樣分離式的程序設計,降低了代碼的調試難度,縮短了調試周期。將與接地故障信息(如母線電壓,母線絕緣電阻,支路絕緣電阻,接地支路號等)密切相關的數據放在一個結構體里,便于掉電存儲與回放顯示。系統的主程序流程圖,如圖4所示。

為了達到好的測試效果,A/D采集必須達到一定的測試精度,圖5是A/D采集的實測數據和測試誤差分析曲線,從圖中可以看出,A/D采集的誤差約20 mV,屬于正常范圍,因為系統采用8位A/D,5 V基準電壓。這個采樣精度滿足整體的設計要求。
[page]

在實驗環境中,采用110 V的穩壓直流電源模擬蓄電池直接供電,可知U1=110 V,采用一組電阻分別關聯在正負母線與地線之間,模擬正負母線的絕緣電阻,其中1~4組模擬正負母線均接地的情況,第5組模擬無母線接地的情況,第6、7組模擬負母線接地的情況,第8、9組模擬正母線接地的情況,測試結果如表1所示。

由1~5組可知,當絕緣電阻大時,測試相對誤差略有增大,這是因為采樣A/D的輸入阻抗較小,因此當測試電阻較大時造成誤差相對大些。另外,當負母線的絕緣電阻<30 kΩ、負母線絕緣電阻正常時,前者的測量效果差些。因為此時實際測得的電壓U2和U3都較小,A/D采樣的相對誤差大一些,所以電阻的誤差也大一些。不過遠好于平衡橋法無法發現兩點接地的情況,可以正卻發現接地。絕緣檢測的環境下,只要絕緣電阻>20 kΩ即認為絕緣良好,因此對于絕緣檢測的應用環境,本系統能夠比較精確的測試各路的絕緣電阻,完全滿足應用環境的需要。
5 結束語
文中所介紹的直流接地檢測系統和絕緣的電阻檢測技術,不論何種形式的絕緣電阻,均能得出相對精確的測試結果,很好地解決了傳統的平衡電橋檢測法及雙頻探測法所存在的問題。這一方案不僅可應用于發電廠、變電站的直流系統絕緣監測,同樣可應用于鐵道部門、電信部門的直流系統絕緣監測和接地檢測。




