- 探究交叉級聯正激式同步整流拓樸實現DC-DC變換器
- 了解交叉級聯正激變換原理
- 采用同步整流技術
- 采用功率 MOSFET實施SR
1 概述
DC-DC變換器是開關電源的核心組成部份,常用的正激式和反激式電路拓樸。常規正激式變換器的功率處理電路只有一級,存在MOSFET功率開關電壓應力大,特別是當二次側采用自偏置同步整流方式,輸入電壓變化范圍較寬,如輸入電壓為75V時,存在柵極偏置電壓過高,甚至有可能因柵壓太高而損壞同步整流MOSFET的危險。而且當輸出電流較大時,輸出電感上的損耗將大大增加,嚴重地影響了效率的提升。使用交叉級聯正激式同步整流變換電路,不但輸出濾波電感線圈可省去,實現高效率、高可靠DC-DC變換器,達到最佳同步整流效果。
2 基本技術
2.1交叉級聯正激變換原理
交叉 級聯變換的拓樸如圖1所示,前級用于穩壓,后級用于隔離的兩級交叉級聯的正激變換器組成的同步降壓變換器。為了實現寬輸入電壓范圍及隔離級恒定的電壓輸入,前后兩級正激變換都應在最佳的目標下工作,從而確保由它所組成的高效率同步降壓變換器能接收整個35-75V通信用輸入電壓范圍,并將它變換為嚴格調整的中間25V總線電壓。實際中間總線電壓由隔離級的需要預置,取決于隔離級的變比。中間電壓較高時,可以采用較小的降壓電感值和較低的電感電流,因而損耗也少。整個降壓級的占空比保持在30^’60%,可協助平衡前后兩級正激變換的損耗。為使性能最佳,并使開關損耗降至最小,開關頻率的典型值為240k-300kHz;由于使用低通態電阻(RDS(on))的MOSFET,導通損耗比較小。傳統的單級變換器主開關必需使用至少200V以上的MOSFET,其RDS(on)等參數顯著增加,必然意味著損耗增加,效率下降。交叉級聯正激變換拓撲的簡化原理圖如圖所示。

眾所 周知,普通二極管的正向壓降為1V,肖特基二極管的正向壓降為0.5V,采用普通二極管和肖特基二極管作整流元件,大電流情況下,整流元件自身的功耗非??捎^。相比之下,如果采用功率MOSFET作整流元件,則當MOSFET的柵源極施加的驅動電壓超過其閩值電壓,MOSFET即進入導通狀態,無論從漏極到源極或從源極到漏極,均可傳導電流。導通電流在MOSFET上產生的壓降僅與MOSFET的溝道電阻成比例關系,n個MOSFET并聯時,壓降可降為單個MOSFET的1/ n。因此,理論上由整流元件壓降產生的損耗可人為的降到最小。同步整流(SynchronousRectify,縮寫為SR)正是利用MOSFET等有源器件的這種特性進行整流的一項技術。
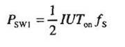
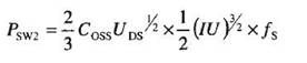
采用功率 MOSFET實施SR的主要損耗為:
導通損耗:




式中 I 為 正向電流有效值,RDS(on)為通態電阻,fS為開關頻率,CGSS為輸入電容,Coss為輸出電容,D為占空比??梢?,正向導通損耗與RDS(on)成正比。不同VDS的MOSFET, RDS(on)往往可相差幾個數量級,所以相同電路拓撲中采用100V MOSFET的損耗比采用200VMOSFET明顯要低??紤]到低VDS的MOSFET比高VDS MOSFET的Coss要小,據關斷損耗式,表明低VDSMOSFET的關斷損耗也小。驅動損耗式為開關過程中輸入電容充放電引起的損耗,該損耗與柵一源驅動電壓的平方成正比。由于采用了兩級變換器,對隔離級來說,因穩壓級己經將較寬的輸入電壓穩在固定的中間總線電壓上,變壓器的變比可以達到最佳。
MOSFET的正向通態電阻RDS(on)以及輸入電容是固定的,驅動損耗只與驅動電壓的平方成正比關系??傊?,采用兩級變換器可使正向導通損耗,驅動損耗等減到最小程度。此外,交叉級聯正激變換電路拓撲中,輸出級同步整流MOSFET所需電壓僅為輸出電壓的兩倍,再加上1.2倍的保險系數,器件的耐壓只是輸出電壓的2.4倍,遠小于傳統單級變換器解決方案需要達到輸出電壓4-10倍的要求。這樣采用交叉級聯正激變換電路拓撲的兩級變換器,便可使用低壓、低RDS(on,的MOSFET來實現極低的輸出級導通損耗。兩級變換器還采用了并聯MOSFET的輸出,得到更低的RDS(on)以及更低的損耗。在系統整體設計的時候,只要元件熱分布合理,裝置的使用壽命和可靠性必將有極大提高。
由圖可見,交叉級聯正激變換電路拓撲的二次側沒有輸出濾波電感線圈,單級式變換器則必須有輸出濾波電感線圈。單級變換器設計時必須兼顧輸出濾波電感中電流的斷續模式(DCM)和連續模式(CCM),電感值的選定不但理論計算復雜,而且需要實驗校驗。交叉級聯正激變換電路拓撲中的隔離級采用電流前饋技術,輸出濾波電感不需要流過全部輸出電流。特別是對低壓大電流輸出而言,輸出級不會因輸出電流的增加而發生難以預料的變化,這是該電路拓樸的主要優點。因此,當系統設計需按比例變化,特別是按輸出電壓及輸出電流變化時由于輸出電流的變化在一次側隔離級的輸入電流中已有反映,亦即所謂電流前饋,這樣濾波電感線圈的損耗大大降低,從而也提高了變換器的效率。
3 設計實例和實驗結果
應用 上 述 設計思路,我們設計了一臺用于通信設備的DC -DC半磚電源。具體技術指標如下:輸入 電壓 DC3 5-75V:輸出電壓DC3 .3V/30A;輸出功率100W;效率92% (TYPICA );電壓調整率士0.1%;負載調整率士0.1%;隔離電壓1 500V,,5;保護要求是過壓、過流、過溫等。
圖 3所 示 為采用交叉級聯正激變換電路設計的通信設備專用DC-DC半磚電源原理圖。工作原理如下,R,, R2. D,, Q,, D:和C:組成自舉啟動電路,得到啟動電壓Vc分別給ICI,I C2和IC3供電。電路啟動后,T,的輔助繞組經D3整流,C3平滑濾波后為IC提供電壓VD,因VD電壓高于Vc,二極管D2反偏,Q、的供電關閉,達到啟動電路無功耗的目的。IC:的腳6輸出方波信號,一路直接送到ICl的腳5,另一路經Q2倒相后送到IC:的腳6作為IC,的輸入信號。IC,的腳3和腳8輸出相位相差180“的方波脈沖信號,分別驅動MOSFETQ 31 Q 4- Q3" Q 4" L 2等組成高效率的同步降壓級,降壓級的占空比保持在30-60%. IC3.Qs"Q6"T.等組成交叉級聯正激式隔離級,達到DC-DC最終的輸出電壓。馬、DS為變壓器T,的磁復位繞組。由于降壓級已將變化范圍較寬的輸入電壓嚴密調整為中間總線電壓,因此隔離級不需調壓。交叉級聯正激變換器都工作在50%的占空比,可以采用VDS為100V的MOSFET. Q7, Q:等組成自偏置式同步整流電路,因隔離級的輸出電壓是固定的,所以同步整流MOSFET漏極的輸入電壓也是固定的,占空比也為50%,可以使用VDS很低的MOSFET(本例中采用的是VDS為12V的MOSFET,損耗最低)因功耗引起的發熱問題均可以方便解決。因輸入電壓固定,多出電壓時,能夠方便地實現高電壓調整率和高負載調整率,單級變換器很難做到此點。其他電路功能(如過流、過壓、過溫度保護等)不再一一闡述。經測量該電路的工作效率約在92%左右,達到預定的設計要求,并且調試較簡單,為今后的批量生產奠定了基礎。
4 結束語
交叉級聯正激式變換器,電路組成稍微復雜,但能平坦分配各級損耗達到整體功耗最小,從而可在更高的環境溫度下工作。較低的功耗,意味著更高的效率;工作環境溫度高,意味著散熱處理能力強和輸出電流大。而可用輸出電流成本的降低,預示著系統長期可靠性會更好。我們的實踐表明交叉級聯正激式同步整流拓樸確實是一種非常有前景的功率變換結構。各項指標優于相同的單級變換器。




