中心議題:
- 有源紋波補償BUCK電路
- 有源紋波補償的實現
- 有源紋波補償LED驅動電路仿真與分析
解決方案:
- 紋波電流檢測
- 紋波補償實現
- 輸出電流計算
傳統BUCK 電路采用LC 濾波,電路穩態工作時,輸出電壓由微小的紋波和較大的直流分量組成。當驅動LED 時,紋波電壓將引起較大的LED 紋波電流。增大濾波電容可減小LED 的紋波電流。但是,電容容量的增大,導致電源體積和重量增加,影響電源的小型化和集成化,更重要的是,電解電容成為限制LED 驅動電源壽命的主要因素。在LED 照明應用環境下,電解電容的壽命不超過10 000 h,與LED 的長壽命( 100 000 h 左右) 難以匹配。文獻分析了開關電源的平均無故障時間,指出電解電容的性能直接決定了電路的可靠性,在設計電源驅動器的時候應該有針對性地減少電解電容的使用。電解電容的有效工作壽命在很大程度上取決于環境溫度以及通過等效串聯阻抗的紋波電流導致的溫升。溫度過高致使電解電容電解質逐漸耗盡,使得其性能下降。
本文提出一種有源紋波補償BUCK 型LED 驅動電路。該電路無需使用大容量電解電容,所需要的小容量電容可以采用能量密度較小的新型長壽命電容,利用有源補償技術抑制輸出紋波電流。由于取消電解電容的使用,可以使電路壽命增長,穩定性提高,便于集成,電路易小型化。
一、有源紋波補償BUCK 電路
電路如圖1 所示。電路結構以BUCK電路為主,取消電解電容濾波,用輔助線性電路對電感紋波電流進行補償。圖中由開關管V、電感L、LED 燈組、續流二極管VD 組成主電路; 晶體管VT 為輔助補償電路。

圖1 有源紋波補償BUCK 電路拓撲圖
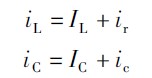
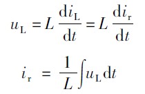
設主電路電感電流iL和晶體管VT 的集電極電流iC分別為:

式中,IL和IC分別是電感電流和的集電極電流的直流分量; ir和ic分別為它們的交流分量( 紋波電流) 。
當ic = - ir時,輸出電流為:
![]()
通過LED 的電流iO為恒定直流,如圖2 所示,實現了對電感紋波電流的全補償。
[page]
式中,Ip和IPP分別是電感電流的上峰值和電感紋波電流的峰峰值。

圖2 電感電流補償示意圖
LED 燈組為n 個大功率LED 串聯連接,UO =nUF為LED 燈組壓降; UF為單個LED 的導通壓降。
晶體管VT 的損耗為:
![]()
在保證晶體管VT 的集射電壓大于其飽和壓降( VCE≥VCES) 的條件下,調整占空比D ( 如D 取值范圍為85% ~ 95%) ,可使集射電壓足夠小。同時,控制集電極瞬時電流iC的最小值近似為零,則IC最小。因此,晶體管VT 的損耗為最小,可提高驅動電源的效率。
二、紋波補償的實現
1. 紋波電流檢測
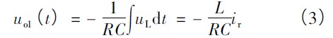
根據電感元件的電壓與電流關系:

可以通過觀測電感兩端的電壓來檢測紋波電流,如圖3 所示。圖3 中檢測電路由運算放大器A1、電阻R 及電容C 組成差分積分電路。假設各元器件均為理想元器件則:

即:


圖3 紋波電流檢測補償原理圖[page]
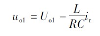
uo1( t) 是與電感紋波電流成正比的函數,比例系數為:

A1采用單電源供電,uo1≥0,在紋波電流為正峰值時uo1 = 0 有:

式中:

所以:

2. 紋波補償實現
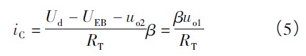
由于電源電壓Ud可能因外界因素波動,所以由A2組成減法電路消除因Ud變化引起的iC變化,根據電路可知:
![]()
式中,UDZ為二極管壓降,其值等于PNP 晶體管VT 的射極E 與基極B 之間的壓降。電路選擇參數使uo1 = 0 時晶體管VT 處于微導通狀態,iC≈0,晶體管VT 的補償電流為:

將uo1代入iC:

設定比例系數為:

若選擇電路元器件參數使得k = 1,則iC = - ir,實現了電感紋波電流的全補償。
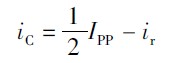
3. 輸出電流計算
當k = 1 時,晶體管T 補償電流為

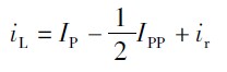
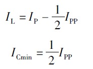
電感電流為:

所以電路輸出電流為:
![]()
因此,通過LED 的電流為直流,其值為IP。
[page]
三、仿真與分析
1. 仿真參數設置
采用PSIM 軟件對所提出的紋波補償電路進行仿真實驗,根據以上分析,仿真參數設置如下表所示。

表1 仿真參數設置表
LED 采用歐司朗半導體照明公司生產的額定功率PW = 5 W 的大功率LED, 型號為LC—WW5AP,其導通壓降為3. 0 ~ 3. 6 V,典型驅動電流為1. 4 A,燈組采用三個大功率LED 串聯連接。
單個LED 仿真模型如圖4 所示,其中VD 為理想二極管,VDZ為理想單向擊穿二極管,RLED為LED等效串聯阻抗。仿真中設定單向擊穿二極管VDZ兩端電壓為: UD = 3. 0 V,設定等效串聯阻抗為: RLED = 0. 35 Ω。

圖4 大功率LED 模型圖控制電路采用傳統峰值電流控制,設定參考電壓Ur = 10. 5 V; 電壓采樣系數ku = 0. 8; 電流采樣系數為ki = 1; 誤差放大器放大倍數設為1; 時鐘頻率fs = 200 kHz; 占空比為0. 1。該電路占空比D > 0. 5,需要斜坡補償。根據斜坡補償原則:所選定斜坡上升斜率m>-m2/2,其中m2為電感電流下降斜率。選定鋸齒波幅值為0. 8 V、頻率為200 kHz。
根據以上參數設置可得到電感上峰值電流為IP = 1. 4 A,輸出電壓UO = 10. 5 V。仿真電路圖如圖5 所示。

圖5 仿真電路圖[page]
2. 仿真分析
電感電流波形如圖6 所示,根據圖6 可以看出電感電流上峰值為IP = 1. 4 A,驗證了控制電路參數設置的正確性。電感紋波電流峰峰值為IPP =0. 14 A,可得電感電流直流分量為IL = 1. 33 A。
若電路不采用紋波補償電路,則通過LED 電流為電感電流,紋波電流峰峰值為0. 14 A,使得LED發光不穩定。根據補償電流波形可以看出其上峰值為0. 14 A,所以可以得到直流分量為IC = 0. 07A。對比iL波形和iC波形可以看出ic = - ir。通過LED 的電流為iO = IL + IC = IP = 1. 4 A,為恒定直流,補償電流將電感紋波電流完全補償,驗證了結論的正確性。

圖6 完全補償波形圖
四、結束語
本文針對電解電容體積大,影響電路整體布局,不利于電路集成和小型化且其壽命難以與LED 長壽命相匹配等問題,提出采用有源補償電路對電感紋波電流進行補償的方法。該電路取消電解電容濾波,采用線性晶體管補償電感紋波電流,方法簡單、易于實現,而且補償效果好,輸出電流恒定。仿真結果證實了該拓撲結構的有效性。



