現代電子設備對電源的工作效率、體積以及安全要求等技術性能指標越來越高,在開關電源中決定這些技術性能指標的諸多因素中,基本上都與開關變壓器的技術指標有關。開關電源變壓器是開關電源中的關鍵器件,因此,在這一節中我們將非常詳細地對與開關電源變壓器相關的諸多技術參數進行理論分析。
在分析開關變壓器的工作原理的時候,必然會涉及磁場強度H和磁感應強度B以及磁通量等概念,為此,這里我們首先簡單介紹它們的定義和概念。
在自然界中無處不存在電場和磁場,在帶電物體的周圍必然會存在電場,在電場的作用下,周圍的物體都會感應帶電;同樣在帶磁物體的周圍必然會存在磁場,在磁場的作用下,周圍的物體也都會被感應產生磁通。
現代磁學研究表明:一切磁現象都起源于電流。磁性材料或磁感應也不例外,鐵磁現象的起源是由于材料內部原子核外電子運動形成的微電流,亦稱分子電流,這些微電流的集合效應使得材料對外呈現各種各樣的宏觀磁特性。因為每一個微電流都產生磁效應,所以把一個單位微電流稱為一個磁偶極子。因此,磁場強度的大小與磁偶極子的分布有關。
在宏觀條件下,磁場強度可以定義為空間某處磁場的大小。我們知道,電場強度的概念是用單位電荷在電場中所產生的作用力來定義的,而在磁場中就很難找到一個類似于“單位電荷”或“單位磁場”的帶磁物質來定義磁場強度,為此,電場強度的定義只好借用流過單位長度導體電流的概念來定義磁場強度,但這個概念本應該是用來定義電磁感應強度的,因為電磁場是可以互相產生感應的。
幸好,電磁感應強度不但與流過單位長度導體的電流大小相關,而且還與介質的屬性有關。所以,電磁感應強度可以在磁場強度的基礎上再乘以一個代表介質屬性的系數來表示。這個代表介質屬性的系數人們把它稱為導磁率。
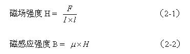
在電磁場理論中,磁場強度H的定義為:在真空中垂直于磁場方向的通電直導線,受到的磁場的作用力F跟電流I和導線長度 的乘積I 的比值,稱為通電直導線所在處的磁場強度?;颍涸谡婵罩写怪庇诖艌龇较虻?米長的導線,通過1安培的電流,受到磁場的作用力為1牛頓時,通過導線所在處的磁場強度就是1奧斯特(Oersted)。
電磁感應強度一般也稱為磁感應強度。由于在真空中磁感應強度與磁場強度在數值上完全相等,因此,磁感應強度在真空中的定義與磁場強度在真空中的定義是完全相同的。所不同的是磁場強度H與介質的屬性無關,而磁感應強度B卻與介質的屬性有關。
但很多書上都用上面定義磁場強度的方法來定義電磁感應強度,這是很不合理的;因為,電磁感應強度與介質的屬性有關,那么,比如在固體介質中,人們就很難用通電直導線的方法來測量通電直導線在磁場中所受的力,既然不能測量,就不應該假設它所受的力與介質的屬性有關。其實介質的導磁率也不是通過作用力來測量的,而是通過電磁感應的方法來測量的。
電磁感應強度一般簡稱為磁感應強度。[page]
磁場強度H和磁感應強度B由下面公式表示:

(2-1)式中磁場強度H的單位為奧斯特(Oe),力F的單位為牛頓(N),電流I的單位為安培(A),導線長度的單位為米(m)。(2-2)式中,磁感應強度B的單位為特斯拉(T), 為導磁率,單位為亨/米(H/m),在真空中的導磁率記為 , = 1。由于特斯拉的單位太大,人們經常使用高斯(Gs)作為磁感應強度B的單位。1特斯拉等于10000高(1T=104Gs)。
由于磁現象可以形象地用磁力線來表示,故磁感應強度B又可定義為磁力線通量的密度,即:單位面積內的磁力線通量。磁力線通量密度可簡稱為磁通密度,因此,電磁感應強度又可以表示為:

(2-3)式中,磁通密度B的單位為特斯拉(T),磁通量的單位為韋伯(Wb),面積的單位為平方米(m2)。如果磁通密度B用高斯(Gs)為單位,則磁通量的單位為麥克斯韋(Mx),面積的單位為平方厘米(cm2)。其中,1特斯拉等于10000高斯(1T = 104Gs),1韋伯等于10000麥克斯韋(1Wb = 104Mx)。
電磁感應強度除了可以稱為磁感應強度、磁通密度外,很多人還把它稱為磁感密度。至此,已經說明,電磁感應強度B、磁感應強度B、磁通密度B、磁感應密度B等,在概念上是完全可以通用的。
順便說明,在其它書上有人把磁感應強度B的定義為:B = (H+M),其中H和M分別是磁化強度和磁場強度,而 是真空導磁率。為了簡單,我們不準備引入太多的其它概念,如有特別需要,可通過(2-2)式的定義來與其它概念進行轉換。
這里還需要強調指出,用來代表介質屬性的導磁率并不是一個常數,而是一個非線性函數,它不但與介質以及磁場強度有關,而且與溫度還有關。因此,導磁率所定義的并不是一個簡單的系數,而是人們正在利用它來掩蓋住人類至今還沒有完全揭示的,磁場強度與電磁感應強度之間的內在關系。不過為了簡單,當我們對磁場強度與電磁感應強度進行分析的時候,還是可以把導磁率當成一個常數來看待,或者取它的平均值或有效值來進行計算。[page]
開關變壓器一般都是工作于開關狀態;當輸入電壓為直流脈沖電壓時,稱為單極性脈沖輸入,如單激式變壓器開關電源;當輸入電壓為交流脈沖電壓時,稱為雙極性脈沖輸入,如雙激式變壓器開關電源;因此,開關變壓器也可以稱為脈沖變壓器,因為其輸入電壓是一序列脈沖;不過要真正較量起來的時候,開關變壓器與脈沖變壓器在工作原理上還是有區別的,因為開關變壓器還分正、反激輸出,這一點后面還將詳細說明。
設開關變壓器鐵芯的截面為S,當幅度為U、寬度為τ的矩形脈沖電壓施加到開關變壓器的初級線圈上時,在開關變壓器的初級線圈中就有勵磁電流流過;同時,在開關變壓器的鐵芯中就會產生磁場,變壓器的鐵芯就會被磁化,在磁場強度為H的磁場作用下又會產生磁通密度為B的磁力線通量,簡稱磁通,用“
根據法拉第電磁感應定理,電感線圈中的磁場或磁通密度發生變化時,將在線圈中產生感應電動勢;線圈中感應電動勢為:

式中,N為開關變壓器的初級線圈的匝數; 為變壓器鐵芯的磁通量;B為變壓器鐵芯的磁感應強度或磁通密度平均值。
這里引進磁通密度平均值的概念,是因為變壓器鐵芯中的磁通并不是均勻分布,磁通密度與鐵芯或鐵芯截面上的磁通實際分布有關。因此,在分析諸如變壓器的某些宏觀特性的時候,有時需要使用平均值的概念,以便處理問題簡單。
從(2-4)式可知,磁通密度的變化以等速變化進行,即:

假定磁通密度的初始值為B(0) = Bo(取t = 0),當t > 0時,磁通密度以線性規律增長,磁通密度以線性規律增長,即:

當t = τ時,即時間達到脈沖的后沿時,磁通密度達到最大值Bm = B(τ)。磁通密度增量(磁通密度初始值和最終值之差)?B = B(τ)-B(0) = Bm-Bo 。[page]
當輸入電壓是一序列單極性矩形脈沖時,根據電磁感應定律,在變壓器鐵芯中將產生一個磁通密度增量與之對應,即:

如果能忽略渦流影響,則磁場強度H的平均值取決于導磁體材料的性質。變壓器初級線圈內的磁化電流的增長與H成正比。在特性曲線的直線段內磁場強度H、磁化電流 和磁通密度B都以線性變化。
脈沖電壓作用結束后( t > τ ),變壓器中的磁化電流將按變壓器的輸出電路特性,即電路參數確定的規律下降,變壓器鐵芯內的磁場強度和磁通密度也相減弱,此時變壓器線圈內產生反極性電壓,即反電動勢。變壓器的輸出電路特性實際上就是第一章中已經詳細介紹過的正、反激電壓輸出電路特性。
上面分析雖然都是以單極性脈沖輸入為例,但對雙極性脈沖輸入同樣有效;在方法上,只須把雙極性脈沖輸入看成是兩個單極性脈沖分別輸入即可。
開關電源變壓器分單激式開關電源變壓器和雙激式開關電源變壓器,兩種開關電源變壓器的工作原理和結構并不是完全一樣的。單激式開關電源變壓器的輸入電壓是單極性脈沖,并且還分正反激電壓輸出;而雙激式開關電源變壓器的輸入電壓是雙極性脈沖,一般是雙極性脈沖電壓輸出。
另外,為了防止磁飽和,在單激式開關電源變壓器的鐵芯中一般都要留氣隙;而雙激式開關電源變壓器的鐵芯磁通密度變化范圍相對來說比較大,一般不容易出現磁飽和現象,因此,一般都不用留氣隙。
單激式開關電源變壓器還分正激式和反激式兩種,對兩種開關電源變壓器的技術參數要求也不一樣;對正激式開關電源變壓器的初級電感量要求比較大,而對反激式開關電源變壓器初級電感量的要求,其大小卻與輸出功率有關。
雙激式開關電源變壓器鐵芯的磁滯損耗比較大,而單激式開關電源變壓器鐵芯的磁滯損耗卻比較小。這些參數基本上都與變壓器鐵芯的磁化曲線有關。
歷史趣聞:
磁感應強度與磁場強度的概念一直以來都比較混亂,這是因為歷史的原因。1900年,國際電學家大會贊同美國電氣工程師協會(AIEE)的提案,決定CGSM制磁場強度的單位名稱為高斯,這實際上是一場誤會。AIEE原來的提案是把高斯作為磁通密度B的單位,由于翻譯成法文時誤譯為磁場強度,造成了混淆。當時的CGSM制和高斯單位制中真空磁導率是無量綱的純數1,所以,真空中的B和H沒有什么區別,致使一度B和H都用同一個單位——高斯。
1930年7月,國際電工委員會才在廣泛討論的基礎上作出決定:真空磁導率有量綱,B和H性質不同,B和D對應,H和E對應,在CGSM單位制中以高斯作為B的單位,以奧斯特作為H的單位。
直至1960年第十一屆國際計量大會決定:將六個基本單位為基礎的單位制,即米、千克、秒、安培、開爾文和坎德拉,命名為國際單位制,并以SI(法文Le System International el"Unites的縮寫)表示,磁感應強度與磁場強度的概念才基本得到統一。
由于歷史的原因,在電磁單位制中還經常使用兩種單位制,一種是SI國際單位制,另一種CGSM(厘米、克、秒)絕對單位制;兩個單位的主要區別是,在CGSM單位制中真空導磁率


