【導讀】Boost升壓電路,可以工作在電流斷續工作模式(DCM)和電流連續工作模式(CCM)。CCM工作模式適合大功率輸出電路,電感電流需保持連續狀態,因此,按CCM工作模式來進行特性分析。不管哪種拓撲,其CCM和DCM的定義,是一樣的。
Boost升壓電路,可以工作在電流斷續工作模式(DCM)和電流連續工作模式(CCM)。CCM工作模式適合大功率輸出電路,電感電流需保持連續狀態,因此,按CCM工作模式來進行特性分析。不管哪種拓撲,其CCM和DCM的定義,是一樣的。
根據變換器穩定狀態下每個開關周期起始 (結束) 時電感電流的實際值判斷變換器的工作模式:
? 穩定狀態下若每個周期中電流都回到零,則為斷續導電模式 (DCM);
? 若電流回到大于0的值,則稱為連續導電模式 (CCM);
? 若恰好在周期結束時回到零,則稱為臨界連續模式 (BCM),當變換器工作于 BCM 時,可自由選擇 DCM 或CCM 方程。
我們根據前文分析,可以知道,電感上的平均電流其實是由負載決定的,因為輸出電壓一定,負載的等效電阻越小,則電感上流經的平均電流IL(avg)就越大;電感上的紋波電流在輸入輸出電壓確定的情況下,跟電感的感值有關。當平均電流足夠大的時候,電感的電流處于一個穩態,持續以紋波的形式圍繞平均電流變化。當負載變化時,電流變化,這時體現到就是電感的平均電流變化,圖6.16中,波形上下整體移動,電路紋波大小的幅度不會變化。
圖6.15 電感感值變小導致紋波電流變大曲線
在電路正常工作過程中,如果電感電流的最小值大于0A,也就是電感處于一個持續輸出電流的穩態,只不過有一個紋波的規律性波動,則此時就是一個CCM模式,如圖6.15所示,為保證電流連續,電感電流應滿足:
當時,Boost電路工作在連續導通模式(CCM)
當時,Boost電路工作在臨界導通模式(BCM)
當時,Boost電路工作在非連續導通模式(DCM)
1. CCM模式
如圖6.16所示,CCM我們分成兩個階段分析,開關導通和開關關閉。
圖6.16 CCM模式下Boost電路的兩個狀態
當開關管S為導通狀態,二極管D處于截止狀態,流經電感L和開關管的電流逐漸增大,電感L兩端的電壓為Vin,考慮到MOSFET的S極對公共端的導通壓降Vs,即為Vi-Vs。ton時,通過L的電流增加部分△ILon。升壓變換器 CCM/DCM 邊界條件 boost 在 CCM/DCM 的邊界情況,是指開關截止期間電感電流從最大值正好減小到零,電流值一旦為零下一個開關周期便開始了。此時電感電流平均值可表示為:

開關管導通時的壓降Rds(on)和線路上其他電阻或者走線的的壓降,我們可以忽略不計。
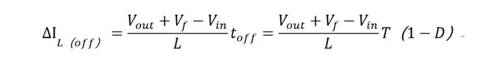
當開關管截止,二極管D處于導通狀態,儲存在電感L中的能量提供給輸出,流經電感L和二極管D的電流處于減少狀態,設二極管D的正向電壓為Vf,開關管截止時,電感L兩端的電壓為Vout+Vf-Vin,電流的減少部分△ILoff滿足下式。
Vf為整流二極管正向壓降,快恢復二極管約0.8V,肖特基二極管約0.5V。在電路穩定狀態下,即從電流連續后到最大輸出時。

2. BCM
跟Buck電路一樣,BCM是一種臨界態,相當于電感正好出現0A的情況。BCM就是CCM-DCM臨界模式。本質BCM更像CCM的一種特殊情況,波形也是跟CCM一樣是一個穩態,如圖6.17。

3. DCM
在開關關閉之后,電感處于一個釋放能量的裝填。電感的電流在繼續放電的過程中,一旦到達0A之后,沒有能量繼續釋放,會保持0A,此時輸出電流就依賴輸出電容進行維持,此時電感的電流如圖6.18所示。

實際測試到的波形如圖6.18中綠色曲線所示。

免責聲明:本文為轉載文章,轉載此文目的在于傳遞更多信息,版權歸原作者所有。本文所用視頻、圖片、文字如涉及作品版權問題,請聯系小編進行處理。
推薦閱讀:
惡劣條件下的成像如何破?eHDR智能線性化技術多圖效果對比!





