【導讀】IC設計工程師和電路設計人員都深知電流噪聲會隨頻率增高而變大,但由于關于此領域的資料過少,或者制造商提供的信息不全,許多工程師很難了解其原因。
IC設計工程師和電路設計人員都深知電流噪聲會隨頻率增高而變大,但由于關于此領域的資料過少,或者制造商提供的信息不全,許多工程師很難了解其原因。
許多半導體制造商的數據手冊,包括ADI在內,都在規格表中給出了放大器的電流噪聲,一般是1 kHz頻率時的噪聲。但并非始終能夠指明電流噪聲參數從何而來。是通過測量得來?或者是理論推斷而來?有些制造商很明白地指出,他們是通過一個公式
即散粒噪聲公式得出這些數值的。一直以來,ADI都是采用這種方式提供大部分電流噪聲數值。但這些計算出的數值是否等于各放大器在1 kHz時的噪聲值?
過去許多年,人們對于放大器中電流噪聲與頻率的關系越來越感興趣。有些客戶和制造商假設FET輸入放大器的電流噪聲與雙極性輸入放大器的噪聲類似,例如,如圖1所示中的1/f或閃爍噪聲和平坦寬帶噪聲成分。對于FET輸入放大器,情況并非如此;如圖2所示,其噪聲呈現奇怪的噪聲形狀,人們對此不熟悉,且在許多仿真模型中,這些噪聲都被忽略。
圖1.雙極性輸入放大器AD8099的電流噪聲。
圖2.FET輸入放大器AD8065的電流噪聲。
在我們弄明白為何會如此之前,我們先快速查看一下測量設置。需要確定易于復制、可靠的測量方法,以便在不同器件中重復使用這種測量。
可能需要使用DC417B 單放大器評估板。待測器件(DUT)采用的電源必須具備低噪聲、低漂移特性。相比開關電源,選擇線性電源更合適,如此,電源引入的特性變化(例如開關偽像)不會不會影響測量結果。LT3045 和LT3094是具備超高PSRR和超低噪聲的正負極輸出的線性穩壓器,可用于進一步降低來自線性電源的紋波。通過單一電阻配置就可以使LT3045和LT3094實現高可到+15V,低可至-15V的輸出電壓。這兩種器件是理想的實驗室電源,適用于低噪聲測量。
圖3.測量設置。
來自Ohmite (HVC1206Z1008KET)的10 GΩ SMT電阻被用于將DUT同相引腳上的電流噪聲轉化為電壓噪聲。FET輸入型放大器的典型偏置電流約為1 pA,相當于會產生0.57 fA/√Hz典型噪聲。
如果公式
正確的話。10 GΩ源極阻抗熱噪聲為
這為我們提供了測量電流的本底噪聲
這個值可以在后期處理中減去。但是,如果電阻中由熱噪聲產生的電流噪聲在DUT的電流噪聲中占主導,則無法準確測量。所以,至少需要電阻值達到10 GΩ,才能測量出噪聲。100 MΩ源極阻抗熱噪聲約為1.28 μV/√Hz (= 12.8 fA/√Hz),但這不足以區分DUT和電阻噪聲。此噪聲,如果不關聯,會以和方根(RSS)形式相加。圖4和表1顯示了對兩個數值比的RSS影響。n:n增加了約41%,n:n/2增加了約12%,n:n/3增加了約5.5%,n:n/5增加了約2%。平均值足夠時,我們可能能夠從中抽取10%(0.57 fA/√Hz和1.28 fA/√Hz RSS)。
圖4.基于兩個數值比的RSS增加。
表1.基于兩個數值比的RSS增加
圖5顯示了使用 AD8065設置的噪聲電壓密度,AD8065是一款145 MHz FET輸入運算放大器,具備2.1 pF共模輸入容抗。10 GΩ電阻熱噪聲為12.8 μV/√Hz,直至電路板的輸入電容和插座雜散電容滾降電壓噪聲。理想情況下,應該在–20 dB/dec滾降,但曲線在約100 Hz時開始改變形狀,在約100 kHz走向平坦。這是怎么回事呢?直覺告訴我們,唯一能夠停止–20 dB/dec滾降和實現平坦的方法是提供一個+20 dB/dec斜坡。電流噪聲正是提供這個斜坡關鍵,它隨頻率增加而增高,具有+20 dB/dec斜率。
圖5.輸出參考電壓噪聲密度。
SR785動態信號分析儀或FET儀器可用于測量輸出電壓噪聲;但是,低于7 nV/√Hz的本底噪聲的儀器會更合適。當DUT滾降的輸出電壓噪聲接近20 nV/√Hz至30 nV/√Hz時,我們希望分析儀本底噪聲增加到被測的噪聲量盡可能少。3倍比率僅增加約5.5%。噪聲域中最多可接受5%誤差(參見圖4)。
以這種方式測量的話,繪制電流噪聲所需的兩個主要參數可通過一次測量獲得。首先,我們獲取總輸入電容,即雜散電容和輸入電容的總和,反向計算滾降需要用到這個值。即使存在雜散電容,也可以通過反向計算得到它的值。輸入電容比10 GΩ電阻更具主導性??傋杩箤㈦娏髟肼曓D換成電壓噪聲。因此,掌握總輸入電容非常重要。其次,它顯示電流噪聲從何處開始占主導作用,即,從何處開始偏離–20 dB/dec斜坡。
我們來看看圖5中采用此數據的示例。3 dB滾降點對應2.1 Hz,與輸入中的
電容對應。從數據手冊可以看出,共模輸入電容只有約2.1 pF,這意味著存在約5.5 pF雜散電容。差分模式輸入電容被負反饋自舉,所以不會在低頻率下發揮作用。采用7.6 pF電容時,電流噪聲的阻抗如圖6所示。
圖6.并聯的10 GΩ電阻和7.6 pF輸入電容的總阻抗幅度。
采用在AD8065(圖5)上測量的折合到輸出端(RTO)的電壓噪聲,除以阻抗vs頻率(圖6),可得出在RSS中合并的AD8065和10 GΩ電阻的等量電流噪聲(圖7)。
圖7.AD8065和10 GΩ電阻的RTI電流噪聲。
移除10 GΩ電流熱噪聲(約翰遜噪聲除以電阻值)之后,AD8065折合到輸入端的噪聲如圖8所示。低于10 Hz時,噪聲嚴重失真,這是因為我們嘗試從1.28 fA/√Hz中剝離出0.5 fA/√Hz至0.6 fA/√Hz(在RSS比例中,為10%)的電流噪聲,其中只有100個平均值。在15 mHz至1.56 Hz之間,存在400條具有4 mHz帶寬的線。即256秒/平均值!100個平均值,每個256秒,總共25,600秒,稍稍超過7個小時。為何需要測量值低至15 mHz,為何需要花費那么多時間?10 pF輸入電容和10 GΩ電阻會構建一個1.6 Hz低通濾波器。低噪聲FET放大器具備大輸入電容,最高可達20 pF,0.8 Hz位置對應3 dB點。為了正確測量3 dB點,我們需要往前增加十倍頻率裕量的測量值,即,一直降低到0.08 Hz(或80 mHz)。
如果我們觀察低于10 Hz的模糊線條,可以通過以下方程
確認0.6 fA/√Hz。使用這個公式計算電流噪聲并不全錯。在一階近似值中,仍然顯示部件的低頻率電流噪聲行為,因為這個電流噪聲密度值是通過直流輸入偏置電流獲取的。但是,在高頻率下,電流噪聲不符合此公式。
圖8.AD8605的RTI電流噪聲。
在更高頻率下,DUT電流噪聲比電阻電流熱噪聲更具主導性,電阻熱噪聲可以忽略。圖9顯示了在10GΩ條件下折算到FET型運放輸入端的噪聲值,使用圖3所示的設置測量得出。似乎大部分精密放大器的典型的噪聲性能為:100 kHz時100 fA/√Hz。
圖9.所選的ADI放大器的RTI電流噪聲。
當然也存在一些例外:LTC6268/LTC6269在100kHz的電流噪聲為5.6fA/√Hz。這些部件非常適合高速TIA應用,這些應用都需要高帶寬、低輸入電容和飛安級偏置電流。
圖10.LTC6268的折合輸入端電流噪聲。
T高源阻抗應用中的總輸入電流噪聲主要來自4個電流噪聲源,到目前為止,我們已經介紹了2個。帶有主要噪聲源的簡化TIA放大器等效電路如下方的圖11所示。MT-050是一個很好的介紹運算放大器噪聲源的參考文檔。
圖11.帶有主要噪聲源的簡化TIA放大器。
來自FET輸入放大器(in_dut)的電流噪聲
電流噪聲的圖譜由放大器輸入級拓撲決定。一般來說,電流噪聲在低頻率下保持平坦,但會隨著頻率升高而變大。參見圖8。最后,當放大器在更高頻率下耗盡增益時,噪聲以–20 dB/dec滾降。
來自電阻 (in_R)的電流熱噪聲
這可以使用電阻 en_R 的熱噪聲除以電阻值R的阻抗得出。1 MΩ產生約128 fA/√Hz,10 GΩ產生1.28 fA/√Hz。
電阻的熱電壓噪聲在頻率范圍內非常平坦,直到電容以–20 dB/dec滾降。圖5顯示在10 mHz至1 Hz范圍之間這種行為的表現。
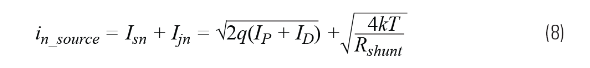
來自傳感器 (in_source)的電流噪聲
傳感器也會產生電流噪聲,我們必須接受這個現實。在頻率范圍內,噪聲可能表現為各種圖譜。例如:光電二極管存在來自光電流 IP的散粒噪聲Isn, 以及來自分流電阻的暗電流ID和約翰遜噪聲 Ijn。
來自放大器電壓噪聲本身的電流噪聲
來自放大器電壓噪聲的電流噪聲被稱 enC 噪聲,在Horowitz和Hill撰寫的《The Art of Electronics》(中文譯本為《電子學》)中有過詳細描述。與由電阻轉換為電流噪聲的電阻熱噪聲類似,放大器電壓噪聲 en_dut由總輸入電容轉換成電流噪聲,其中包括傳感器電容、板雜散電容和放大器輸入電容。
在第一階,我們使用
從這個公式,我們可以看出三點。第一,電流噪聲隨頻率增加而升高,另一個電流噪聲成分隨頻率升高而增大。第二,放大器的輸入電壓噪聲越大,電流噪聲也越大。第三,總輸入電容越大,電流噪聲也越大。由此得出電流噪聲的品質因數enC,其中放大器的電壓噪聲和總輸入電容是決定這個指標的關鍵要素。
TIA應用的電流噪聲圖形(忽略DUT電流噪聲)如圖12所示。平坦部分主要是電阻噪聲
電容導致的電流噪聲為
以20 dB/dec的斜率增加。從兩個等式可以得出交越點的計算公式
圖12. 頻率范圍內的enC 噪聲。
根據 Cin, enC 可能高于或低于DUT電流噪聲。對于反相放大器,例如TIA應用, Cdm沒有被自舉;即:
例如,在100 kHz時,LTC6244的Ccm = 2.1 pF, Cdm = 3.5 pF, en = 8 nV/√Hz ,對應的enC 電流噪聲為
這是遠低于80 fA/√Hz DUT電流噪聲
但是,連接光電二極管時,公式中會額外增加一個C-source 或 Cpd,然后需要重新計算電流噪聲。即便Cpd 僅僅有16pF的電容值,也會產生與DUT相等電流噪聲。低速大面積光電二極管會存在100 pF至1 nF的PD等效電容,高速小區域光電二極管的PD等效電容為1 pF至10 pF。
IC設計工程師和經驗豐富的電路設計人員都深知,在CMOS和JFET輸入放大器中,電流噪聲會隨頻率增高而增高,但由于關于此領域的資料過少,或者制造商提供的信息不全,許多工程師很難了解其原因。本文的目標是幫助大家理解電流噪聲從低頻到高頻的特性,同時介紹一種可以重復測量運放電流噪聲的方法。
在高阻抗環境中,要測量得出FET輸入具備10 GΩ阻抗噪聲,需要注意環境和細節。
在典型的單個放大器引腳布局中,Pin3 (Vin+)鄰近Pin4 (V–)。沒有保護環時,板的布局非常重要。掃描電源時,會發現輸出端存在明顯的直流偏移。10 GΩ SMD最開始與V–(圖13中的R10)并聯焊接,所以焊錫膏泄漏不可接受。所以,10 GΩ SMD被移動到另一個位置(R8),由此消除泄漏。ADA4530-1 靜電計級放大器,在85°C時為20 fA)的數據手冊顯示了所有與焊錫膏選擇、污染、濕度影響有關的預防錯誤,以及其他與高阻抗測量有關的有趣細節。數據手冊和用戶指南UG-865,以及電路筆記 CN-0407都非常值得研讀。
圖13.測量設置。
具有高阻抗、不隔音的器件非常易受擦電效應、壓電效應或微音效應影響。有一天,我的鑰匙偶然落地,其設施設備顯示的噪聲譜在人可聽到的頻率范圍內(1 kHz和以上)出現了一個尖峰。我本不認為在高阻抗FET運放前掛一個10GΩ電阻的噪聲測量電路會對聲音很敏感。但為了再次確認一下,我吹了個口哨。在1 kHz至2 kHz之間測量到了一個尖峰。即使在有大量平均值的情況下,一聲尖銳口哨也會令SR785的CRT屏幕上出現噪聲尖峰。CN-0407中提到的氣密玻璃電阻是消除壓電/摩擦電效應的更好選擇。
為了確認,我使用筆記本電腦的麥克風測量實驗室環境噪聲,使用MATLAB?處理數據,最后發現噪聲與測量結果非常對應。結果顯示,在768 Hz時出現噪聲尖峰,其他頻率如圖14所示。罪魁禍首是距離工作臺幾米遠的大型空調管。為了確定噪聲不是來源于我的筆記本電腦,我選擇進入公用電話間這個最安靜的地方采集噪聲數據。結果未捕獲之前在768 Hz位置上的噪聲尖峰。其他頻率的噪聲尖峰也至少低了100倍。
圖14.實驗室噪聲。
圖15.電話亭噪音。
圖16.折合輸出端噪聲電壓密度,無隔音屏障。
圖17.折合輸出端噪聲電壓密度,有隔音屏障。
要衰減可聽噪聲,可以使用Temptronix盒。此盒已經熱隔離,內部不存在大量氣流。我只需要它能夠隔離足夠的聲音,以免麥克風的聲音效果進入測量結果。它確實起到了這樣的作用。參見圖16和圖17。
FET輸入放大器具有pA級的輸入偏置電流。10 pA通過10 GΩ電阻產生的失調電壓體現在放大器的輸出端也只有大約100 mV。SR785具有交流耦合特性,可以去除此直流偏置,并在–50 dB V峰值(3.2 mV峰值)的最佳量程范圍內測量輸出噪聲。但是,交流耦合特性會影響到不足1 Hz的頻率,導致難以確定平坦的12.8 μV/√Hz頻率范圍和讀取到3 dB的滾降轉折點。必須使用直流耦合,但是直流耦合不能使用儀器儀表中最佳的靈敏度范圍。1 mHz無源濾波器由兩個串連270 μF有極性電容(135 μF電容)和一個1 MΩ電阻構成,被置于DUT和SR785的輸出之間。由于電容的長導線會產生更大的電流環路面積,這會導致SR785 CRT 屏幕在20kHz頻率下的諧波產生的磁場干擾到此電流環路,從而產生輻射干擾噪聲。。由于磁場從本質上呈三維特性,所以改變無源濾波器盒的角度以及旋轉它可以解決此問題。注意查看圖18中呈角度的藍色盒子。簡直屬于E& M黑魔法!
圖18.旋轉的過濾器盒對磁場的靈敏度較低。
免責聲明:本文為轉載文章,轉載此文目的在于傳遞更多信息,版權歸原作者所有。本文所用視頻、圖片、文字如涉及作品版權問題,請聯系小編進行處理。
推薦閱讀:




