【導讀】是否應該使用均方根(rms)功率單位來詳細說明或描述與我的信號、系統或器件相關的交流功率?這取決于您如何定義rms功率。如果您不想計算交流功率波形的rms值,那么得出的結果可能沒有實際意義。如果您需要使用電壓和/或電流的rms值來計算平均功率,那么就會得出有意義的結果。
Q:是否應該使用均方根(rms)功率單位來詳細說明或描述與我的信號、系統或器件相關的交流功率?
A:這取決于您如何定義rms功率。如果您不想計算交流功率波形的rms值,那么得出的結果可能沒有實際意義。
如果您需要使用電壓和/或電流的rms值來計算平均功率,那么就會得出有意義的結果。
在1 Ω電阻上施加1 V rms正弦電壓時,會消耗多少功率?

這個問題的答案很明確[1],大家對此沒有任何異議。
現在,我們將這個值與rms功率計算值比較看看。
圖1所示為1 V rms正弦曲線圖。峰峰值為1 V rms × 2 √2 = 2.828 V,擺幅為+1.414 V至–1.414 V。[2]

圖1.1 V rms正弦曲線圖。
圖2所示為1 V rms正弦電壓施加于1 Ω電阻(P = V2/R)時的消耗功率曲線圖,其中顯示:

圖2.1 V rms正弦電壓施加于1 Ω電阻時的消耗功率曲線圖。
●該瞬時功率曲線的偏移為1 W,擺幅為0 W至2 W。
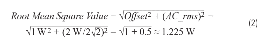
●此功率波形的rms值為1.225 W。
計算此值的一種方法是使用公式2[3]:

可以在MATLAB® 或Excel中使用更詳細的公式[4]來驗算這個值。
●此功率波形的平均值為1 W。這可以通過查看波形看到;波形在1 V上下對稱波動。計算波形數據點的平均數可以得出相同的值。
●平均功率數值與使用rms電壓計算得出的功率值相同。
1 V rms正弦電壓施加于1 Ω電阻時,功耗為1 W,而不是1.225 W。所以,能夠得出正確值的是平均功率,平均功率具有實際意義。Rms功率(如此處所定義)沒有明顯的實用意義(沒有明顯的物理/電氣意義),只是實踐練習中可以計算的一個量。
例如,采用1 A rms正弦電流通過1 Ω電阻,執行相同的分析。得出的結果相同。
集成電路(IC)的電源一般為直流電源,所以rms功率對IC電源沒有影響。對于直流而言,平均功率和rms功率的值相同。與本文中定義的rms功率不同,使用平均功率的重要性也適用于需要考慮隨時間變化的電壓和電流(即噪聲、RF信號和振蕩器)相關功率的情形。
使用rms電壓和/或rms電流來計算平均功率,可以得出有意義的功率值。
[1] 電壓施加于電阻兩端產生功耗具有一種基本關系,可以從歐姆定律(V = Ir)以及電壓(電能/電荷單位)和電流(電荷單位/時間)的基本定義輕松得出。電壓 × 電流 = 電能/時間 = 功率
[2] 正弦電壓的峰峰幅度 = rms值 × 2√2。對于正弦電壓,V p-p = V rms × 2√2,其中V p-p表示峰峰電壓,V rms表示rms電壓。
[3] 這是從恒定的直流偏置值加上單獨的rms交流值得出的rms值中演變而來。
[4] 標準教科書中提供的是以下這種更詳細的公式。

(來源:亞德諾半導體)
免責聲明:本文為轉載文章,轉載此文目的在于傳遞更多信息,版權歸原作者所有。本文所用視頻、圖片、文字如涉及作品版權問題,請聯系小編進行處理。
免責聲明:本文為轉載文章,轉載此文目的在于傳遞更多信息,版權歸原作者所有。本文所用視頻、圖片、文字如涉及作品版權問題,請聯系小編進行處理。




