【導讀】集成混頻器內部的本振(LO)驅動器/緩沖器會增加本振殘余相噪,強射頻信號與本振噪聲發生倒易混頻會降低接收靈敏度。定義并評估集成混頻器本振噪聲的劣化能夠幫助系統設計人員計算接收機靈敏度的降低。
前言
蜂窩基站接收機需要在有較高阻塞/干擾信號的情況下接收天線端微弱的有用信號。干擾信號通常會被濾波器濾除,但濾波是在第一級下變頻后的中頻(IF)階段進行的。因此,中頻濾波器之前的LNA與混頻器必須具有較高的線性度(IP3)和低噪聲系數(NF)。
圖1給出了一個典型的基站接收機架構的簡化框圖。接收機從天線開始,然后是高Q值調諧濾波器單元,低噪放位于天線附近。通過同軸線纜將接收到的信號連接到收發信機,收發信機單元由低噪放、低噪聲混頻器、聲表濾波器以及中頻放大器構成,最后是模/數轉換器(ADC)。第一級混頻器將信號下變頻至70MHz至100MHz (CDMA 800/GSM 900)或200MHz至300MHz (GSM 1800/GSM 1900/UMTS)。

圖1. 蜂窩基站接收機的基本框圖
通常使用本振驅動電平大于17dBm的無源平衡二極管混頻器來滿足對混頻器線性度和噪聲的要求(圖2)。這些基站混頻器由分立元件或混合集成電路構成,本振驅動由外部特性阻抗為50Ω的緩沖放大器實現。因此,在信號注入混頻器之前增加濾波器,濾除本振殘余相噪是可行的。選擇IC方案時,必須謹慎考慮本振驅動的噪聲,以滿足系統要求。在芯片的輸入端口通過濾波將本振電平噪聲限制到kT,本振緩沖放大器將使本振相噪劣化。當存在大的阻塞信號時,由于本振噪聲與強干擾信號之間的倒易混頻會增加接收機的噪聲。

圖2. 帶本振濾波的分立式無源17級基站接收機混頻器
混頻器噪聲模型
熱噪聲是接收機混頻器中常見的測量噪聲,定義為具有50Ω射頻輸入端口的混頻器的噪聲性能,端口的噪聲功率密度為-174dBm/Hz (
)。輸入參考噪聲可以由混頻器的噪聲系數
獲得。
式中,
k = 玻爾茲曼常數
F = 混頻器的噪聲系數。
倒易混頻發生在射頻端口存在強射頻信號的情況下。這是一種在噪聲系數(NF)測量中沒有計算在內的附加噪聲。輸入倒易混頻噪聲
可以在特定的阻塞電平
條件下評估。假定輸入本振噪聲為
,帶寬為B,中頻端口的倒易混頻噪聲為:
如果干擾頻率與有用信號的頻率偏差足夠大,相位噪聲可認為是平坦的。這兩個噪聲源可看作相互獨立,并且可以直接相加(圖4所示)。存在阻塞信號時,對輸入、輸出信噪比的影響可以用下式表示:
本振噪聲的定義
根據混頻器輸出端口所需要的載噪比(C/I)、輸入阻塞信號電平
、信號電平
以及接收噪聲帶寬(B),可以估算所需的本振噪聲,單位為
。對于GSM基站,偏差大于3MHz的最大阻塞信號
電平定為-13dBm,在阻塞條件下所需接收靈敏度為-101dBm,GSM系統的帶寬‘B’為200kHz。
對于需要C/I比為10的GSM基站系統,計算所得的相位噪聲電平
為-151dBc/Hz。考慮到前端熱噪聲,實際的相位噪聲應該大于該值,移動基站的阻塞指標比較寬松,
= -138dBc/Hz。

圖3. 典型集成基站接收機混頻器,集成了本振驅動和中頻放大功能
LO驅動的等效噪聲電平
將式1和式2代入式3,得到接收機信噪比下的等效本振噪聲電平
(單位為dBc/Hz)。高線性混頻器要求較高的本振驅動電平,但同時放大器的底噪也會相應增加。如式2所示,由于倒易混頻使本振噪聲出現在中頻端口,可以在中頻端口測量本振驅動放大器的噪聲。圖5所示配置可以用來測量阻塞條件下的混頻器噪聲。底噪測量分別在無信號和存在阻塞信號的條件下進行。
由輸出熱噪聲
以及輸出倒易混頻噪聲
組成,
經過聲表濾波器衰減和中頻放大。
由小信號噪聲(F)和增益(G)確定。

圖4. 混頻器總噪聲由熱噪聲和倒易混頻噪聲組成
計算舉例
MAX9993是一款為PCS/DCS/UMTS (1.7G至2.2G)應用設計的一款有源混頻器。其典型增益為8.5dB,噪聲系數9.5dB,IIP3 = 23.5dBm,P1dB = 13.0dBm,工作所需的本振電平在0至6dBm之間。輸入參考熱噪聲
輸出熱噪聲
本例中工作頻率分別為:
1800MHz,
在偏離
處
注入5dBm的阻塞信號,且使用一個190MHz的中頻濾波器(SAWTEK 855770)濾除215MHz處的阻塞信號,用Agilent E4404B頻譜分析儀測得的
為-127dBm/Hz。不存在阻塞信號的同樣配置下,測得的噪聲電平為
該配置中,中頻放大器的增益和噪聲系數分別為29.5dB和2.5dB。所測得的
與使用實驗配置下的增益和存在阻塞條件下的噪聲系數計算的結果一致。

圖5. 存在阻塞情況下測量噪聲以及推導9999的實驗配置

圖6. 不同溫度條件下MAX9982以dBc/Hz表示的本振噪聲(
)相對于輸入本振驅動功率的變化
存在阻塞情況下噪聲的增加歸結到混頻器輸出噪聲表現為
到
的劣化。通過頻譜儀測量到的噪聲電平(
)來源于熱噪聲、倒易混頻、聲表以及中頻放大器。通過對整個系統的級聯噪聲分析,混頻器的等效噪聲系數由9.5dB增加到16dB。從合成噪聲(
)中,使用在混頻器噪聲部分推導的公式可求出倒易混頻噪聲
。式3所示信噪比降低16dB,從式3解出
,結果是:
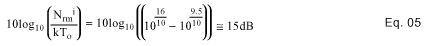
輸入倒易混頻噪聲
= 15dBm/Hz - 174dBm/Hz = -159dBm/Hz。由于使用了5dBm的阻塞信號,
為-164dBc/Hz。該指標遠小于GSM所需要的-151dBc/Hz。
以信噪比(dBc/Hz)定義的本振噪聲會隨著本振驅動信號的變化而變化,同時該驅動信號會受本振驅動的限制。從下述例子可以看到這一點。
MAX9982是一款用于CDMA/GSM頻帶(825MHz至915MHz)的高線性混頻器,其輸入IP3 > 26dBm,增益為3dB且噪聲系數NF = 11dB。該混頻器工作時的本振驅動范圍為-5dBm至+5dBm之間。大多數參數隨著本振驅動信號而變化。圖6給出了一個以驅動電平為函數的
(dBc/Hz)曲線。此次測量所采用的配置與圖5完全相同。一個SAWTEK (854823) 86.6MHz的GSM中頻濾波器用于衰減中頻端口的阻塞信號(DUT口為5dBm)。
結論
本文討論了在基站集成混頻器設計中本振驅動放大器噪聲的影響。用一個簡單的噪聲模型,倒易混頻成分可以從存在阻塞信號情況下的整體噪聲中提取出來,通過測量在阻塞條件下的整體輸出噪聲,測量出了兩個集成混頻器內部的驅動放大器的本振噪聲。這個數據可以用來計算阻塞條件下接收機的靈敏度。
本文來源于Maxim。
推薦閱讀:


