- 電容式感測技術概觀
- 電容式感測技術細節說明
- 弛張震蕩器(RelaxationOscillator)
- 連續近似法(SuccessiveApproximation)
- 基線重新測定(BaselineRecalibration)
- 感測器觸發(SensorActivation)
雖然多數電玩游戲的開發都著重在軟件和處理器上,但許多重大的創意和前瞻想法都與控制器相關。由于游戲系統及周邊廠商努力改善玩家與其系統互動的方式,因此無論是在人體工學、風格、功能或是特色等方面都不斷地在開發改進。
尋找新的典范
我們可能都還記得具備四方形底座的Atari最早期控制器,其中央有一根搖桿,旁邊還有一顆按鍵的設計,這對于當時的電玩游戲而言已相當足夠。因為當時所需要的只有基本的方向控制和一個選擇按鍵,就可以進行游戲,而這個控制器則完全符合所需。任天堂后來發表了四方形控制器的任天堂娛樂系統(NintendoEntertainmentSystem),其中方向按鍵取代了搖桿,而且還增加第二顆按鍵,這是以現有技術開發出來的重大改變。
從那時開始,控制器就開始變得越來越復雜。現在,標準的游樂器主機控制器上具備比以往更多的按鍵,而且每個按鍵都擁有更強大的功能。具備壓力感應間斷作用的按鍵讓其觸發作用獲得更好的控制,尤其對于駕駛類電玩游戲中的煞車與加速控制特別有用。而按鍵組合在格斗游戲中也常被用來啟動特殊功能與動作。震動功能(rumble-packs)則讓玩家能體驗真實感覺,而不再只是聲光效果而已。由于搖桿具備的卓越模擬功能性,讓其在最新的控制器上重現生機。
電容式感測技術是最新的介面技術,能提高游戲控制器的可用性,以及最炫的機械設計。
電容式感測技術概觀
電容式感測最常用于個人電腦觸控板與可攜式媒體播放器上。手機制造商也開始投入資金來推廣其用途,并已開發出數種機型銷售上市。簡單的架構、裝置防水性及堅固的機械式設計等都是電容式感測介面極具吸引力的特性。
■方法
要達到電容式感測效果有好幾種方式,但基本的要素卻固定不變。其中,電容式感測器不過是在印刷電路板中連接至控制器電路上的銅片(pad)。感測按鍵與其連接導線的組合會在其周圍產生電容。設計時所考量的接地面、金屬支撐裝置、還有其他電子與機械元件都會影響感測器的電容值。一般認為感測器電容值等同于它與接地面之間的電容值。當具有導電性的觸發物質(例如手指)靠近感測器到一定程度時,該電容值就會增加。這是因為導體本身會在感測器與接地面之間產生更多可能的路徑,愈多的路徑則會產生愈多的場線,這樣一來就會提高整個電容值。
在電容式感測器的前端是由切換式電容器(switchedcapacitors)、內部電流源或是具有外部電阻器的電壓源所組成。這些方法都是為了要在感測電容器上輸入電壓值。而該電壓值可透過ADC、或由比較器所構成的充電時間量測電路之處理,然后到達計數器或計時器。數字輸出值被電容式感測系統的資料處理和決定(decision-making)所使用時,則會在ADC輸出值中產生轉變或在電容質中的計數值產生模擬轉變。稍后我們會深入討論常用的兩種方法,也就是弛張震蕩器(relaxationoscillation)以及連續近似法(successiveapproximation)。
■實際建置
要在實際的設計中建置一個電容式感測器并不難。如上所述,電容式感測器不過就是在印刷電路板上放置一塊導體片,通常是銅片。而這塊導體片經由觸發物質—通常是手指,不僅能直接連結至控制元件;并可以直接與其互動。感應板則置于感測區域正下方的一層覆蓋層(overlay)表面上。感測器與覆蓋層之間最好不要有任何空氣,而且要用不導電的接合劑將感測器基板緊緊黏附在覆蓋層上。控制電路可以設置于感測器附近,而且越近越好。感測器在機械結構上的需求決定了控制電路的配置。感測器與控制電路距離越遠,則感測器與接地面間的原生電容值就會隨之增加,因為導線會與周圍環境互動,并進而增加電容值;距離越長,增量就越明顯。雖然要規定出最大的距離并不容易,但一般來說,6到12英吋可算是功能上限了。
[page]
電容感應應用裝置的基板并非固定的;其中,最常見的設計是具備銅導線的基本FR4印刷電路板。此外,附有銅片的彈性印刷電路板(通常用聚亞醯胺薄膜—Kapton)也很常見。彈性基板能夠讓機械設計更為容易,尤其是在彎曲的表面上。印刷在彈性物質上如碳或銀的導電墨水,能以極低的成本制作電容式感測器,但這當中會因為彈性物質無法上銲錫,而需要控制印刷電路板以及連接器。透明的導電物質,例如氧化銦錫(IndiumTinOxide;ITO)也快速地被廣泛使用在觸控式螢幕的應用中。ITO感測器會被印刷在玻璃或是聚乙烯對苯二甲酸酯(PET)薄膜上,然后再結合上最終的設計成品。雖然目前已有玻璃覆晶(chip-on-glass)用于控制這類的應用,但是在印刷電路板上使用彈性連接器或是熱把焊接(hotbarsoldering)卻是更經濟的方法。
■電容式輸入
電容式感測器有好幾種型式,最基本的電容式感測器就是按鍵,也就是連接到控制電路的單一銅片。這類按鍵具備類比功能,但其主要輸出還是數位的「開」(on)與「關」(off)。按鍵的大小決定了它的靈敏度,依照慣例來說,較大的按鍵具備較高的靈敏度。而按鍵尺寸則會受到手指大小的限制,因為很小的手指頭只能與一個大尺寸感應器的局部進行互動。以標準直徑7mm的按鍵而言,10mm的覆蓋層厚度就已足夠。
滑桿(sliders)其實就是直線或呈放射狀的電容式感測器陣列。量測整個陣列的電容值變化,并配合內插法(interpolateposition)就能得到比感測器本身更高的解析度。內插法運用了每個感測器的類比特性。手指會與滑桿感測器其中一部份進行互動,而在中央區域的感應所造成的電容變化較高,而在兩端點則較低。而利用基本的資料處理就可依據電容值變量來統計觸發物的中心位置。滑桿的解析度受限于本身的電容變化與演算法。滑桿與按鍵型的電容式感測器應用原理一樣,感測器越大越靈敏。重要的是,觸發物會增加多個感測器的電容值,而感測器的形狀也可能會增加多個電容感應的變化量。此外,與按鍵一樣,靈敏度的限制很難推算,一般建議會用最大4mm厚的覆蓋層。
觸控板是由縱向與橫向兩組滑桿陣列所構成,這兩組滑桿的組合構成一個可接受觸發物的平整觸控表面。同樣的,此處的橫向與縱向滑桿也都採用了內插法計算觸發物的位置。由于觸控板內的每個感測器的感應面積較小,靈敏度也因而相對降低。依照觸控板的大小與更新速率的不同,此處覆蓋層可達2mm厚。
近距感測器基本上就是很大的按鍵,它是利用較大的感測器偵測更遠距離外的大型觸發物體。假如一根手指頭可以隔著10mm厚的覆蓋層上的按鍵而被偵測到,那整個手掌就可以隔著150mm的距離及數公厘的覆蓋層被偵測到。近距感測器的精確度不如按鍵、滑桿或觸控板;此外,它在偵測稍微有點距離的導體時,也會需要較長的掃瞄時間。
電容式感測技術細節說明
電容式感測的方法相當值得深入探討。
■弛張震蕩器(RelaxationOscillator)
弛張震蕩器已有數十年的歷史,其前端采用一個感測電容器、一個可編程電流DAC(IDCA)及一個比較器與重置開關。雖然也可以用555這顆計時器,但PSoC具備掃瞄更多個內建感測器之能力,而本身的微控制器和專屬軟件讓此功能更為簡易。震蕩器后端有一個脈寬調變器(pulse-widthmodulator)和一個計時器。量測電容值其實就是計算該電容透過電流源充電至某一臨界電壓所需的時間,如(圖一)。

(圖一) 以弛張震蕩器量測電容值
[page]
步驟一
感測電容器CX與電流源都連接至一個類比多工匯流排上,其中電流源決定了感測電容器中充電的速率。而該電容器兩端電位差會隨著充電電荷累積到匯流排而產生線性增長,其關系式為q=CV。
步驟二
當感測電容器的電位差到達某一臨界電壓VREF的時候,SW1就會變成閉路并接地釋放電容器上的電荷。而比較器輸出端的延遲,則為開關啟動提供遲滯作用,讓感測電容器可以完全轉向接地。
重復步驟一和二,電容器的電壓就會呈現鋸齒狀波形,其最高電壓值為VREF。而比較器的輸出波形則是周期相同的脈波串,其延遲值則處于高值(HIGHTIME)。
步驟三
比較器的輸出用來作為脈沖寬度調變(PWM)的時脈,并進而成為使用高速內部時脈計時器的極閘。當PWM產生插斷訊號時,計時器上的值就可以被讀取并且儲存該輸出值。
計時器的計數值與CX的尺寸成正比,因為在CX上越大的電容也代表越長的PWM充電時間,更淺的訊號以及更慢的時脈,而也連帶使得計時器輸出值更大。最后,藉由感測器因有無手指觸碰所產生不同的計數值,來判斷電容的量測值。
■連續近似法(SuccessiveApproximation)
已由Cypress申請專利的連續近似法,則利用PSoC元件進行建置,其中採用了一個電容對電壓轉換器,以及單斜率型(singleslope)ADC。將電容轉換成電壓值,并將此電壓儲存至電容器上,然后利用可調式電流源量測該儲存電壓,即可得到電容的量測值,如(圖二)。

(圖二) 以連續近似法量測電容值
電容對電壓轉換器乃是利用切換式電容器技術。這套電路可以把感測電容器的電壓轉成對應感測器的電容值。而切換式電容器的時脈則是來自于PSoC內部的主要震盪器。
步驟一
感測電容器CX連接至一個模擬多工匯流排上,其中感測器電容值與匯流排電容值是平行連結且互相共享電容值。此匯流排上還連接了一組可編程IDAC來為這些電容器充電。雖然電容器兩端電位差一樣,但內含的電荷量卻不同,由下列關系式的定義即可發現:

公式一
[page]
步驟二
當開關SW2為開路而開關SW1為閉路時,將使得CX上的電壓成為零,而匯流排上的電荷量就會少掉原本CX所含的電荷量。IDAC則仍會對模擬多工匯流排的電容器充電。
重復步驟一與二,CX的切換式電容器就會變成電流負載,其值則與該電容值有關:
步驟三
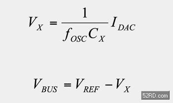
當切換式電容器線路運作時,IDAC就可以完成分類工作。此處IDAC利用二元搜尋法(binarysearch)決定出一個附加CX的匯流排之恆定電壓值。這表示感測器將電壓從匯流排引開的量為:

公式二
而匯流排電壓結果是根據切換頻率、感測器電容值以及IDAC電流所決定的。CBUS可作為旁路電容器(bypasscapacitor),來穩定所產生的電壓。匯流排上的電容值可增加以進一步提升穩定度。外部電容器則會影響效能與時序等需求。
步驟四
隨著無指觸的感測器上所對應的IDAC值,感測電容器又會經由SW2而再次與匯流排連接。此時IDAC對匯流排充電,而且會開始量測之電容值由原先的電壓值轉到比較器臨界值所需的時間,計時工作則是由一個16位元的計時器與內部主震蕩器完成。此處會得到新的電壓對應電容器的關系式,如(圖三):

公式三
其中CP是感測器的原生電容值,而CF是觸發物(手指)接近感測器所增加的電容值。
當連接至匯流排的感測電容器比較大時(例如用手指觸碰感測器),匯流排上的電壓會下降較多,而且量測充電開始處的電壓也比較低。由于采用的是恆流電源,因此要達到臨界電壓所需的時間也比較長。最后,藉由感測器因有無手指觸碰所產生不同的計數值,來判斷電容的量測值。

(圖三) 電壓對應時間關系圖
[page]
■高階處理程序
關于感測器觸發、環境重新測定、滑桿與觸控板的質心計算以及其他處理程序等種種決定,所採用的計數方式皆因感測器不同而有各自基線。每個感測器的基線值經計算、儲存后即可用于更為強固的決策形成上。
˙基線重新測定(BaselineRecalibration)
環境條件的改變會多方面影響感測器計數值。參考電壓的臨界值會隨溫度而變,覆蓋層物質、印刷電路板的電介質常數也會受溫度影響,而改變感測器電容值。熱漲冷縮的效應亦會改變電容值。累積在覆蓋層表面的灰塵污垢也會影響其電介質特性與電容值。此外,空氣中的濕氣也會影響感測器而產生些許干擾噪音。
韌體技術可以用來解決因電容值與電路系統改變而造成計數值的小變動。其實計數改變式時常會發生的情況。對內含12MHz內部主要震盪器的微處理器而言,幾秒鐘已算是相當長的一段時間。針對這些技術的討論就已將相當花時間了,而無限脈沖響應(infiniteimpulseresponse;IIR)濾波器以及連續近似法只是諸多方法中的兩種。
˙感測器觸發(SensorActivation)
電容式感測器利用基線值和一連串的臨界值來決定感測器的觸發狀態。觸發區域的上下限能對感測器的觸發產生遲滯作用。要觸發感測器就必須要超越較高的臨界值,而且被觸發的狀態會一直持續到計數值降到較低的臨界值以下為止,如(圖四)。

(圖四) 感測器觸發與電容值變化
第三臨界值可消除系統周遭的干擾噪音,并且減少手指在基線重新測定上的影響;而噪音臨界值(noisethreshold)則用來忽略計數(電容)值的小變化。此外,若手指觸碰感測器時,雜訊臨界值則是停止當時的基線測定動作。若手指觸碰感測器且感測器重新測定同時啟動時,則手指則對感測器基線產生極大的影響。
˙滑桿與觸控板的質心計算
就算是用很小的計數值也能計算滑桿與觸控板的質心。質心計算能利用乘算器與計數值來設定其解析度。
每個感測器的計數值都會乘上某一個設定值,而這些結果的總平均就可以推算出質心值。
針對觸控板方面,則是分別計算其中縱向與橫向滑桿的質心值。
整合
電容式感測技術可輕易地運用在電玩控制器的應用中。按鍵控制尤其簡單,只需將原本機械式按鍵用具有相似電路面積的電容式按鍵取代即可。電容式按鍵因具備模擬功能,所以手指按得越用力,與感應器覆蓋層的互動面就會越大,因而增加感應器與接地部分的觸發面積,如此將造成更強的信號和更高的計數值。
針對操控臺本身,電容式按鍵也可以取代面板上原有的按鍵和開關,并簡化零件組合與提升視覺風格。而且由于面板上的按鍵較主機上的按鍵更為分散,因此可用較大的電容式按鍵以獲得更好的靈敏度。
電容式滑桿雖然無法直接應用在電玩控制器上,但仍可附加在控制器或操控臺上,以用來控制選單查詢。在駕駛類游戲中的控制油門功能也可用它來取代原有的單一模擬按鍵。此時就不是靠按的力量,而是以上下滑動手指這種更具直覺的控制方式來決定速度。
觸控板是最接近搖桿的介面型式,因為它具備二維(甚至三維)的控制維度,而且提供非機械式、比搖桿更堅固的控制架構。此外,觸控板亦能提供更有趣、更具市場性的新介面。
近距感測技術則可用于無線控制器的省電功能上。對于一些以電池供電的應用而言,功耗是一項非常重要的考量要素。近距感測器可以用來關閉裝置中暫時不用的主要控制器。當近距感測器偵測到手指靠近時,控制器的無線無線電可啟動并與操控臺接收器通信。藉由關閉控制器的無線電,即可節省可觀的電力,而且也不再需要固接線路的電源開關。
PSoC混合信號陣列(MixedSignalArray)是一套可配置式的數字與模擬資源陣列、快閃存儲器與RAM、一個8位元微控制器、還有其他許多功能。這些功能讓PSoC可在其CapSense系列元件中建置各種創新電容式感測技術。利用PSoC的直覺式開發環境來配置或重新配置元件設計,可以符合設計規格與規格變更之需求。新的感測技術展現了更好的靈敏度與抗干擾能力,并能降低功耗、提升更新速率。



