【導讀】運算放大器(op amp)的高精度和高速度直接影響著功耗的量級。電流消耗降低則增益帶寬減少;相反,偏移電壓降低則電流消耗增大。
運算放大器的許多電子特性相互作用,相互影響。由于市場對低功耗應用的需求逐漸增大,如無線感應節點、 物聯網 (IoT) 和樓宇自動化,因此為確保同時滿足終端設備性能優化及功耗盡可能低,了解各電子特性間的平衡至關重要。此系列博文包含三部分,在第一部分中,我將介紹在毫微功率精密運算放大器中關于直流增益的功率與性能表現的平衡。
直流增益
你也許還記得,在學校中學到的運算放大器的典型反相(如圖1)和非反向(如圖2)增益配置。

圖1:反相運算放大器

圖2:非反相運算放大器
根據這些配置可分別得出反相和非反相運算放大器閉環增益等式,等式1和等式2:
等式中A_CL是閉環增益,R_F 是反饋電阻值,而R_2 是從負輸入端到信號(反相)或接地(非反相)的電阻值。
這些等式說明直流增益與電阻比有關,與電阻值無關。另外,“功率”定律和歐姆定律顯示了電阻值和消耗功率兩者之間的關系(等式3):
P是電阻消耗的功率,V是電阻的壓降,I是流經電阻的電流。
對毫微功耗增益和分壓器配置而言,Equation 3顯示,流經電阻的電流消耗最小,則消耗功率最小。Equation 4有助于你了解該原理:
R是電阻值。
根據這些等式,可以看出你必須選擇既可以提供增益又可以使消耗功率(也稱功耗)最小化的大電阻值。如果不能使流經反饋通道的電流最小化,那么使用毫微功耗運算放大器就沒有任何優勢可言。
一旦選定可以滿足增益和功耗需求的電阻值后,你還需要考慮其它影響運算放大器信號調節精度的電子特性。統計非理想運算放大器固有的幾個系統性小錯誤,你將會得出總偏移電壓。電子特性——V_OS被定義為運算放大器輸入端之間的有限偏移電壓,并且描述了特定偏置點的錯誤。請注意,并未記錄所有運算情況下的錯誤。為此,必須考慮增益誤差、偏置電流、電壓噪聲、共模抑制比(CMRR)、電源抑制比(PSRR) 和漂移。本博文無法全面討論涉及的所有參數,我們將詳細討論一下 V_OS 和漂移,以及這兩者對毫微功率應用的影響。
實際上,運算放大器通過輸入端展示V_OS,但有時在低頻(近似直流)精密信號調節應用中則可能是一個問題。 在電壓增益環節,隨著信號被調節,偏移電壓將上升,產生測量誤差。此外,V_OS的大小隨著時間和溫度(漂移)而變化。因此,低頻應用需要相當高分辨率的測量方式,選擇一款配備最低漂移的精密 (V_OS ≤ 1mV)運算放大器非常重要。
等式5計算了與溫度相關的最大V_OS:
我已經介紹了理論部分,如:為低頻應用選擇可以提高增益比和運算放大器精度的大電阻值,現在我將用兩引線電化電池來做出實例解釋。兩引線電化電池常發出低頻的小信號,用在各種便攜式感應設備上,如氣體檢測儀、血糖監測儀等,選擇一款低頻(<10kHz) 毫微功耗運算放大器。
用氧氣傳感(見圖 3) 作為具體的應用實例,假設感應器的最大輸出電壓為10mV(通過制造商指定的負載電阻將電流轉換成電壓R_L) ,則運算放大器的滿量程輸出電壓為1V。通過Equation 2,可以看出 A_CL 的值需要為100,或者R_F是R_2的100倍。分別選擇100MΩ電阻和1MΩ電阻,得出增益值為101,且電阻值足夠大到可以限制電流并最小化功耗。

圖3:氧氣傳感器
為最小化偏移誤差,LPV821零漂移毫微功耗運算放大器是一款理想器件。 使用Equation 5并假設操作溫度范圍為0°C—100°C,該器件產生的最大偏移誤差為:

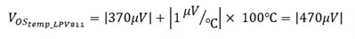
另一款理想的器件是LPV811精密毫微功耗運算放大器。從其數據表收集必要數值插入等式5可以得出:
(請注意,LPV811數據表未指明偏移電壓偏移的最大上限,因此在此處使用典型值)。
如果使用通用的毫微功耗運算放大器取代,如TLV8541 ,相關值變化會得出:
(TLV8541數據表未指明偏移電壓偏移的最大上限,因此在此處仍使用典型值)。
如你所見,LPV821運算放大器是這個應用的理想選擇。電流消耗為650nA的LPV821可以感應到氧氣傳感器輸出電壓低至18µV或更低的變化,并只有2.3mV的最大偏移增益誤差。如果需要同時滿足極高精密性和毫微功耗,零偏移毫微功耗運算放大器將是你的最佳選擇。
感謝你閱讀“如何通過毫微功耗運算放大器實現精密測量”系列的第一部分。在第二部分中,我將討論超精密微功耗運算放大器如何助力電流感應應用。
免責聲明:本文為轉載文章,轉載此文目的在于傳遞更多信息,版權歸原作者所有。本文所用視頻、圖片、文字如涉及作品版權問題,請聯系小編進行處理。
推薦閱讀:



