【導讀】本文主要參考了TIDA-010031參考設計,分析下ADC采樣積分方波無感控制的原理,方便大家更好地完成類似的方案設計。下面是典型的三相BLDC電機控制框圖:
1.下面是典型的三相BLDC電機控制框圖.
三個半橋驅動BLDC無刷電機,檢測低邊總線電流

2.典型的BLDC電機相電流和反電動勢波形圖分析
從波形上看,每60度電角度,只有兩個半橋有驅動電壓輸出,另外一個半橋上下管全關,這個相電壓是懸浮態。
BLDC電機運行后,相線都有反電動勢。
電機反電動勢來源于電機轉子旋轉引起磁通的變化,而磁通的變化在定子繞組上會產生感應電壓。
對同一個電機來說,反電動勢峰值跟電機轉速幾乎是固定的比例。

3.反電動勢過零點到峰值的反電動勢電壓和時間的積分

根據上面對反電動勢峰值跟轉速(電頻率)幾乎成固定比例的描述,設定
。Vm為反電動勢峰值, 對于同一個電機,我們可以認為Kv幾乎不變。
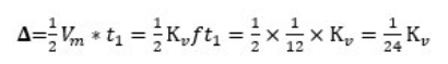
以上圖左邊的藍色區域為例,該區域(反電動勢過零點時刻到下一次換相點時刻之間的區域)的電角度是30度,也就是電角度(360度)的1/12。
設當前電機電頻率為f, 單位為Hz。
反電動勢的峰值電壓為
,單位為伏特。
設反電動勢從center tap value到最大值的時間為t1, 而
。
那么藍色積分區域的積分值就等于藍色三角形的面積:

可以看到,積分結果是Kv值的
,因此積分結果也是幾乎不變的。
所以我們可以根據積分的值跟固定閾值
作比較來判斷換相點。
4.ADC如何采樣反電動勢
方波無感BLDC的ADC采樣積分控制,電路設計有三相相電壓ADC采樣電路,每60度電角度區間電機的兩相由于半橋有輸入電壓同時有電感電流,在不增加額外電路的情況下很難獲得反電動勢電壓,而懸浮相由于沒有半橋電壓輸入和電感電流,所以可以從檢測該相端電壓推導出該相實際的反電動勢電壓,具體可以看下面的推導,推導過程參考了TI的參考設計TIDA-010031 http://www.ti.com/lit/ug/tiduej4/tiduej4.pdf?ts=1588819919326
所以如果對這個電機控制方法感興趣的,可以在TI官網上查看該參考設計的軟硬件開發資料。
設計上采用下管常開,上管打PWM的策略驅動電機。考慮到電機驅動的PWM duty的大小是變化的,可以根據半橋上管ON的時間長短來決定采樣策略,因為如果上管導通時間太短,為了避開MOSFET開通關斷的影響,留給采樣的時間就變得很少,不利于采樣的準確性.
● 在上管ON的時間比較長時,在上管ON時遠離MOSFET開關時刻檢測懸浮相的反電動勢電壓(一般在ON時間的正中間進行采樣)。

此時的驅動邏輯是A相上管導通,B相下管導通, 所以有
。
Ea, Eb, Ec為電機三相反電動勢電壓,va, vb, vc為三相半橋中點電壓,也就是電機三相輸入電壓。
La, Lb, Lc為電機三相相電感,ia, ib,ic為電機三相輸入電流,Ra, Rb, Rc為電機三相輸入電阻(考慮三相電阻相等), vn為電機三相中點電壓。

可以得到當Ec=0,也就是反電動勢過零時,
, 也就是說當ADC檢測到
時,就意味著這個時刻是C相的反電動勢過零點, 那么理論上再經過1/12 的電周期時間,電機就需要進行換向.
● 上管ON的時間比較短時,在上管OFF時檢測懸浮相的反電動勢電壓(一般在OFF時間的正中間進行采樣)

此時的驅動邏輯是A相上管關閉,B相下管仍導通,此時A相下管MOSFET體二極管續流,所以有
。

得到當Ec=0,也就是反電動勢過零時,vc=0, 也就是說當ADC檢測到vc=0時,就意味著這個時刻是C相的反電動勢過零點, 那么理論上再經過1/12的電周期時間,電機就需要進行換向.
從上面的分析,我們可以看到,使用ADC采樣積分方式進行無感BLDC控制,設計上需要注意以下兩點
1. 積分閾值跟電機的反電動勢峰值和轉速比值相關,可能會隨著電機不同而不同,需要針對電機進行調整。
2. 上管做PWM驅動的設計下, 可以采用不同的ADC采樣策略來針對大duty和小duty的情況,同時反電動勢過零點的判斷也需要調整
3. 電機高速情況下,電頻率相對比較高,而ADC積分采樣基于PWM開關周期采樣的,所以要獲得比較準確的換相點,需要比較高的開關頻率,如果開關頻率比較低,意味著采樣速率慢,可能會造成換相延遲比較大,從而影響電機的正常控制。
推薦閱讀:





