【導讀】近期看了一些無源濾波器的資料,其中Robert Keim寫的文章通俗易懂,讓我們一起來看看處理EMC問題中最常用的手段-RC濾波。
本文介紹了濾波的概念,并詳細說明了電阻 - 電容(RC)低通濾波器的用途和特性。
1時域和頻域
當我們在示波器上查看電信號時,會看到一條線,表示電壓隨時間的變 化。在任何特定時刻,信號只有一個電壓值。我們在示波器上看到的是信號的時域表示。
典型的示波器很直觀,但它也有一定的限制性,因為它不直接顯示信號的頻率內容。與時域表示相反,頻域表示(也稱為頻譜)通過識別同時存在的各種頻率分量來傳達關于信號的信息。


正弦波(頂部)和方波(底部)的時域表示

正弦波(頂部)和方波(底部)的頻域表示
2什么是濾波器
濾波器是一個電路,其去除或“過濾掉”特定范圍的頻率分量。換句話說,它將信號的頻譜分離為將要通過的頻率分量和將被阻塞的頻率分量。
讓我們假設我們有一個由完美的5 kHz正弦波組成的音頻信號。我們知道時域中的正弦波是什么樣的,在頻域中我們只能看到5 kHz的頻率“尖峰”?,F在讓我們假設我們激活一個500 kHz振蕩器,將高頻噪聲引入音頻信號。在示波器上看到的信號仍然只是一個電壓序列,每個時刻有一個值,但信號看起來會有所不同,因為它的時域變化現在必須反映5 kHz正弦波和高頻噪音波動。然而,在頻域中,正弦波和噪聲是在該一個信號中同時存在的單獨的頻率分量。正弦波和噪聲占據了信號頻域表示的不同部分(如下圖所示),這意味著我們可以通過將信號引導通過低頻并阻擋高頻的電路來濾除噪聲。

3濾波器的類型
如果濾波器通過低頻并阻止高頻,則稱為低通濾波器。如果它阻擋低頻并通過高頻,它就是一個高通濾波器。還有帶通濾波器,其僅通過相對窄的頻率范圍,以及帶阻濾波器,其僅阻擋相對窄的頻率范圍。

還可以根據用于實現電路的組件類型對濾波器進行分類。無源濾波器使用電阻、電容、電感;這些組件不具備提供放大的能力,因此無源濾波器只能維持或減小輸入信號的幅度。另一方面,有源濾波器既可以濾波信號又可以應用增益,因為它包括有源元件,如晶體管或運算放大器。

基于流行的Sallen-Key拓撲結構的有源低通濾波器
4RC低通濾波器
為了創建無源低通濾波器,我們需要將電阻元件與電抗元件組合在一起。換句話說,我們需要一個由電阻器和電容器或電感器組成的電路。從理論上講,電阻 - 電感(RL)低通拓撲在濾波能力方面與電阻 - 電容(RC)低通拓撲相當。但實際上,電阻 - 電容版本更為常見,因此本文的其余部分將重點介紹RC低通濾波器。

RC低通濾波器
如圖所示,通過將一個電阻與信號路徑串聯,并將一個電容與負載并聯, 可以產生RC低通響應。在圖中,負載是單個組件,但在實際電路中,它可能更復雜,例如模擬到數字轉換器,放大器或示波器的輸入級,用于測量濾波器的響應。
如果我們認識到電阻器和電容器形成與頻率相關的分壓器,我們可以直觀地分析RC低通拓撲的濾波動作。

重新繪制RC低通濾波器,使其看起來像分壓器
當輸入信號的頻率低時,電容器的阻抗相對于電阻器的阻抗高; 因此,大部分輸入電壓在電容器上(和負載兩端,與電容器并聯)下降。當輸入頻率較高時,電容器的阻抗相對于電阻器的阻抗較低,這意味著電阻器上的電壓降低,并且較少的電壓傳輸到負載。因此,低頻通過并且高頻被阻擋。
RC低通功能的這種定性解釋是重要的第一步,但是當我們需要實際設計電路時它并不是很有用,因為術語“高頻”和“低頻”非常模糊。工程師需要創建通過并阻止特定頻率的電路。例如,在上述音頻系統中,我們希望保留5kHz信號并抑制500kHz信號。這意味著我們需要一個過濾器,從5 kHz到500 kHz之間的傳遞過渡到阻塞。
5截止頻率
濾波器不會引起顯著衰減的頻率范圍稱為通帶,濾波器確實導致顯著衰減的頻率范圍稱為阻帶。模擬濾波器,例如RC低通濾波器,總是從通帶逐漸過渡到阻帶。這意味著無法識別濾波器停止傳遞信號并開始阻塞信號的一個頻率。然而,工程師需要一種方便,簡潔地總結濾波器頻率響應的方法,這就是截止頻率概念發揮作用的地方。
當我們查看RC濾波器的頻率響應圖時,會注意到術語“截止頻率”不是很準確。信號光譜被“切割”成兩半的圖像,其中一個被保留而其中一個被丟棄, 不適用,因為隨著頻率從截止點下方移動到截止值以上,衰減逐漸增加。
RC低通濾波器的截止頻率實際上是輸入信號幅度降低3dB的頻率(選擇該值是因為幅度降低3dB對應于功率降低50%)。因此,截止頻率也稱為-3 dB頻率,實際上該名稱更準確且信息量更大。術語帶寬是指濾波器通帶的寬度,在低通濾波器的情況下,帶寬等于-3 dB頻率(如下圖所示)。

該圖表示RC低通濾波器的頻率響應的一般特性。帶寬等于-3 dB頻率
如上所述,RC濾波器的低通行為是由電阻器的頻率無關阻抗與電容器的頻率相關阻抗之間的相互作用引起的。為了確定濾波器頻率響應的細節,我們需要在數學上分析電阻(R)和電容(C)之間的關系,我們還可以改變這些值,以設計滿足精確規格的濾波器。RC低通濾波器的截止頻率(f C) 計算如下:

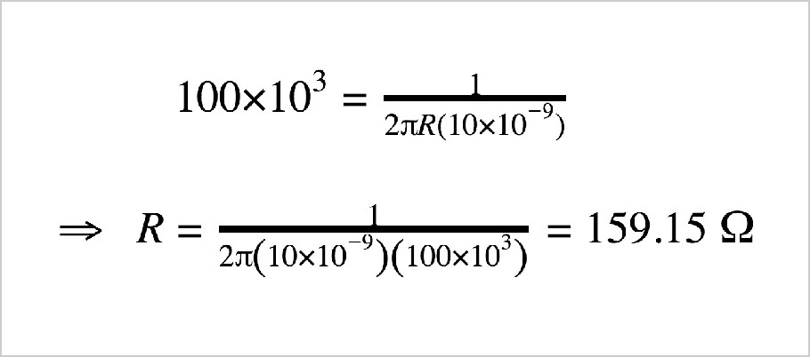
我們來看一個簡單的設計實例。電容值比電阻值更具限制性,因此我們將從常見的電容值(例如10 nF)開始,然后我們將使用該公式來確定所需的電阻值。目標是設計一個濾波器,它將保留5 kHz音頻波形并抑制500 kHz 噪聲波形。我們將嘗試100 kHz的截止頻率,稍后在文章中我們將更仔細地分析此濾波器對兩個頻率分量的影響。

因此,160Ω電阻與10 nF電容相結合,將為我們提供一個非常接近所需頻率響應的濾波器。
6計算過濾器響應
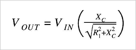
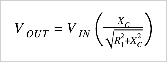
我們可以通過使用典型分壓器計算的頻率相關版本來計算低通濾波器的理論行為。電阻分壓器的輸出表示如下:


RC濾波器使用等效結構,但是我們有一個電容器代替R 2。首先,我們用電容器的電抗(X C)代替R 2(在分子中)。接下來,我們需要計算總阻抗的大小并將其放在分母中。因此,我們有:

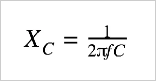
電容器的電抗表示與電流的相反量,但與電阻不同,相反量取決于通過電容器的信號頻率。因此,我們必須計算特定頻率的電抗,我們用于此的等式如下:

在上面的設計實例中,R≈160Ω且C = 10nF。我們假設V IN的幅度是1 V, 這樣我們就可以簡單地從計算中去掉V IN。首先讓我們以正弦波頻率計算VOUT的幅度:


正弦波的幅度基本不變。這很好,因為我們的目的是在抑制噪音的同時保持正弦波。這個結果并不令人驚訝,因為我們選擇的截止頻率(100 kHz) 遠高于正弦波頻率(5 kHz)。
現在讓我們看看濾波器如何成功衰減噪聲分量。


噪聲幅度僅為其原始值的約20%。
7可視化過濾器響應
評估濾波器對信號影響的最方便方法是檢查濾波器頻率響應的圖。這些圖形通常稱為波德圖,在垂直軸上具有幅度(以分貝為單位),在水平軸上具有頻率; 水平軸通常具有指數標度,使得1Hz和10Hz之間的物理距離與10Hz和100Hz之間,100Hz和1kHz之間的物理距離相同。這種表示方法使我們能夠快速準確地評估濾波器在很大頻率范圍內的作用。

頻率響應圖的一個例子
曲線上的每個點表示如果輸入信號的幅度為1 V且頻率等于水平軸上的相應值,則輸出信號將具有的幅度。例如,當輸入頻率為1 MHz時,輸出幅度(假設輸入幅度為1 V)將為0.1 V(因為-20 dB對應于十倍減少因子)。
通帶中的曲線幾乎完全平坦,然后隨著輸入頻率接近截止頻率,它開始下降得更快。最終,衰減的變化率穩定在20 dB / decade。即,輸入頻率每增加十倍,輸出信號的幅度降低20 dB。
8評估低通濾波器性能
如果我們仔細繪制我們在本文前面設計的濾波器的頻率響應,我們將看到5 kHz時的幅度響應基本上是0 dB(即幾乎為零衰減),500 kHz時的幅度響應約為-14 dB(對應于0.2的增益)。這些值與我們在上一節中執行的計算結果一致。
由于RC濾波器總是從通帶到阻帶逐漸過渡,并且因為衰減永遠不會達到無窮大,我們無法設計出“完美”的濾波器 - 即對正弦波完全沒有影響并完全消除噪聲的濾波器。相反,我們總是需要權衡。如果我們將截止頻率移近5 kHz, 我們將有更多的噪聲衰減,但我們想要發送到揚聲器的正弦波衰減更多。如果我們將截止頻率移近500 kHz,我們在正弦波頻率下的衰減會減少,但噪聲頻率下的衰減也會減少。
9低通濾波器相移
到目前為止,我們已經討論了濾波器修改信號中各種頻率分量幅度的方式。然而,除了幅度效應之外,電抗性電路元件總是引入相移。
相位的概念是指周期內特定時刻的周期信號的值。因此,當我們說電路引起相移時,我們的意思是它會在輸入信號和輸出信號之間產生不對準:輸入和輸出信號不再在同一時刻開始和結束它們的周期。相移值(例如45°或90°)表示已創建多少未對準。
電路中的每個電抗元件都會引入90°的相移,但這種相移不會同時發生。輸出信號的相位與輸出信號的幅度一樣,隨著輸入頻率的增加而逐漸變化。在RC低通濾波器中,我們有一個電抗元件(電容器),因此電路最終會引入90°的相移。
與幅度響應一樣,通過檢查水平軸表示指數頻率的曲線圖,可以最容易地評估相位響應。下面描述了一般情況,然后我們可以通過檢查繪圖來填寫詳細信息。
● 相移最初為0°。
● 它逐漸增加,直到它在截止頻率達到45°; 在這部分響應期間,變化率正在增加。
● 在截止頻率之后,相移繼續增加,但變化率正在降低。
● 隨著相移漸近接近90°,變化率變得非常小。

實線是幅度響應,虛線是相位響應。截止頻率為100 kHz。注意,截止頻率下的相移為45°
10二階低通濾波器
到目前為止,我們假設RC低通濾波器由一個電阻器和一個電容器組成。此配置是一階過濾器。
無源濾波器的“次序”由電路中存在的電抗元件(即電容器或電感器)的數量決定。高階濾波器具有更多的無源器件,這導致更多的相移和更陡的衰減。通過向濾波器添加一個電抗元件 ,例如,從一階到二階或二階到三階,最大斜率就會增加20 dB /十倍。更陡峭的斜率轉換為從低衰減到高衰減的更快速轉換,所以當一階濾波器不具有將期望頻率分量與噪聲分量分離的寬頻帶時,用多階濾波器可以實現目的。
11總結
總結如下:
● 所有電信號都包含所需頻率分量和不需要的頻率分量的混合。不期望的頻率分量通常由噪聲和干擾引起,并且在某些情況下它們將對系統的性能產生負面影響。
● 濾波器是以不同方式對信號頻譜的不同部分作出反應的電路。低通濾波器旨在傳遞低頻分量并阻止高頻分量。
● 低通濾波器的截止頻率表示濾波器從低衰減轉變為顯著衰減的頻率區域。
● RC低通濾波器的輸出電壓可以通過將電路視為由(頻率無關)電阻和(頻率相關)電抗組成的分壓器來計算。
● 幅度(以dB為單位,在垂直軸上)與頻率(以赫茲為單位,在水平軸上)的曲線圖是檢查濾波器理論行為的方便有效的方法。我們還可以使用相位與指數頻率的關系圖來確定將應用于輸入信號的相移量。
● 二階濾波器提供更陡峭的衰減; 當信號不能在所需頻率分量和不需要的頻率分量之間提供寬帶分離時,這種二階響應是有用的。
推薦閱讀:


